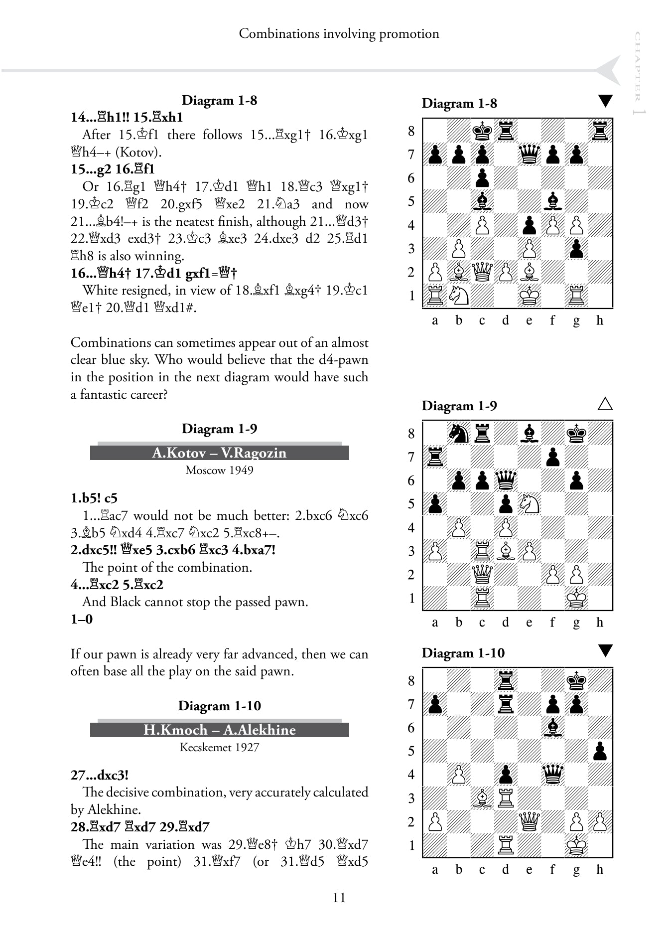
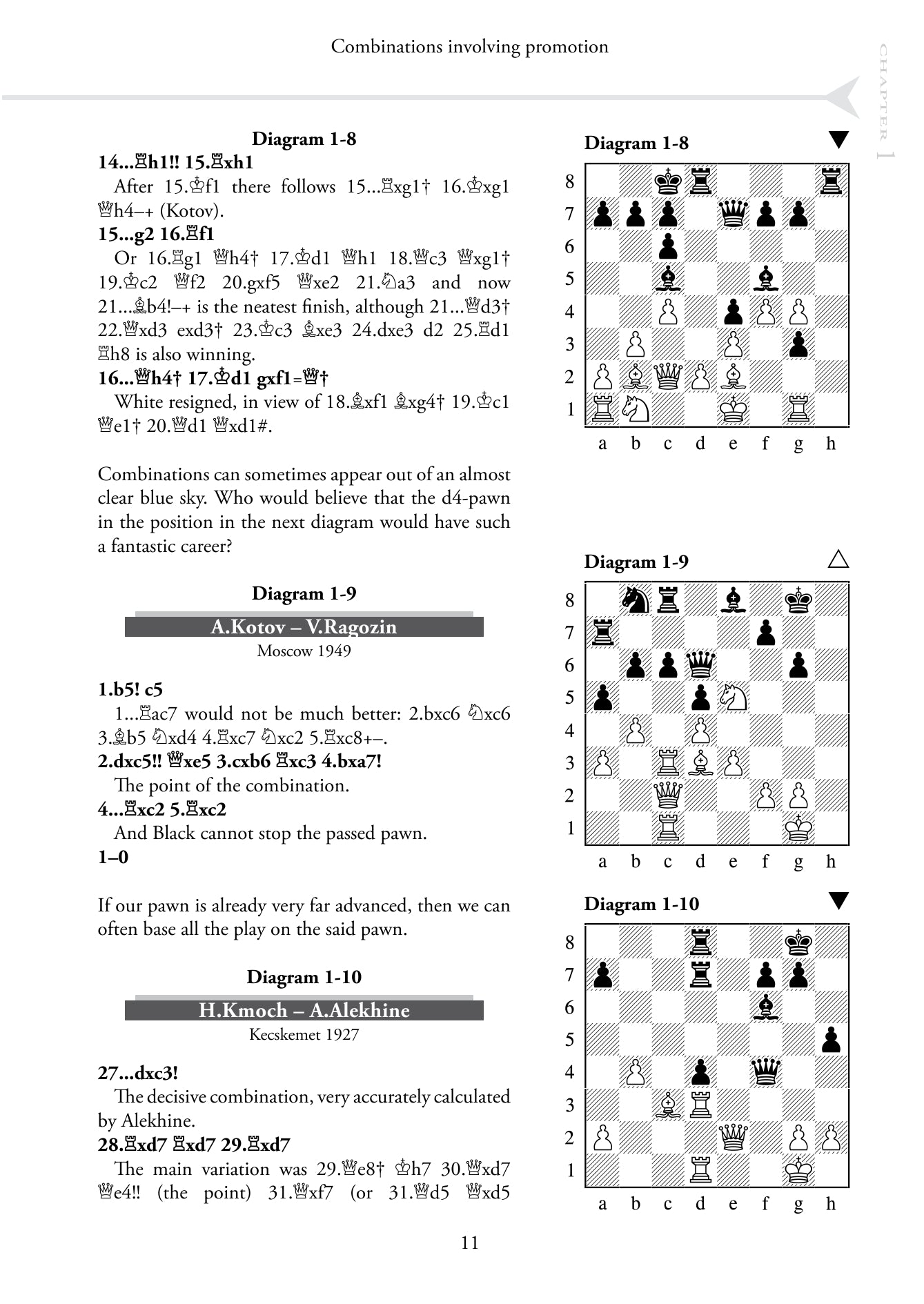
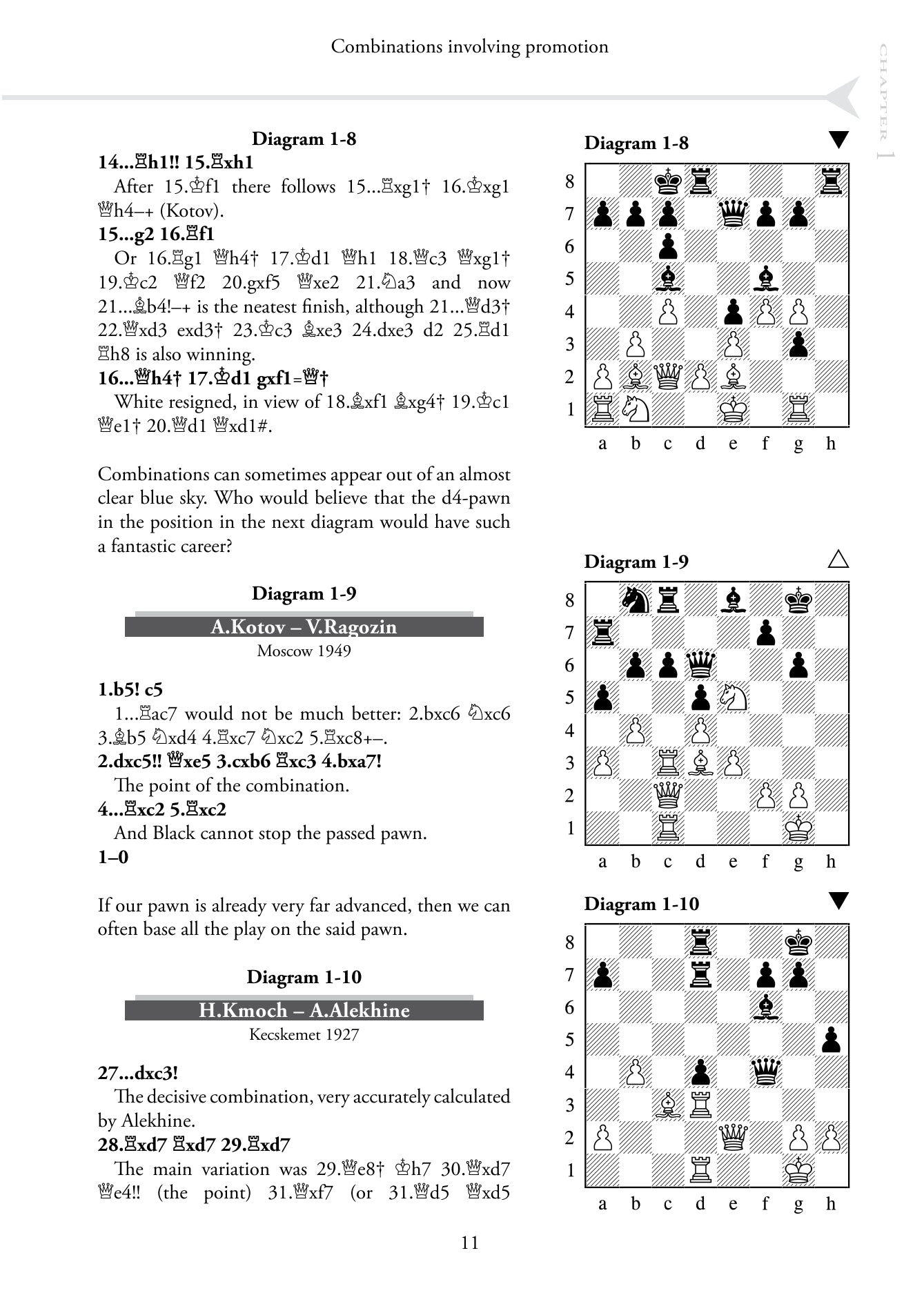
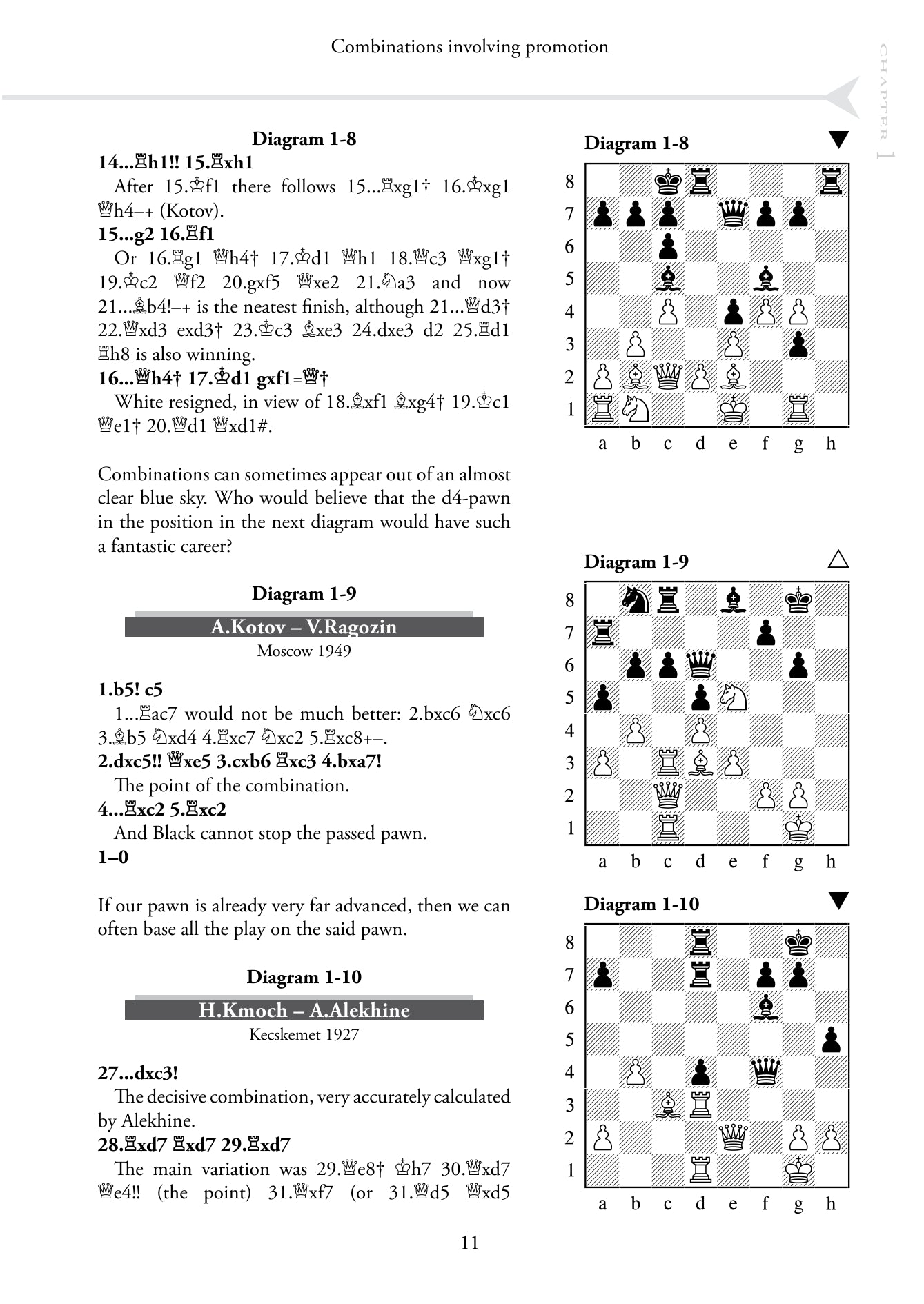
Build up your Chess 3 - Mastery by Artur Yusupov (softcover)
Il famoso grande maestro Artur Yusupov continua il suo corso di perfezionamento scacchistico "Build up Your Chess".
- Ilprimo volume, I fondamenti, ha mostrato ai giocatori di club le idee di base che dovrebbero conoscere;
- Il volume2, "Oltre le basi", ha avviato la strada verso la maestria, e ora nel volume 3, "La maestria", arriviamo al punto di partenza.
- Volume 3, La maestria, arriviamo alla nostra destinazione finale.
Yusupov guida il lettore utilizzando posizioni e consigli accuratamente selezionati. Questa nuova comprensione viene poi messa alla prova da una serie di rompicapo.
Seguite questo link per avere informazioni più dettagliate sul pluripremiato corso di formazione di Yusupov.
Artur Yusupov è stato il numero 3 al mondo dal 1986 al 1992, subito dopo le leggende Karpov e Kasparov. Ha vinto tutto quello che c'è da vincere negli scacchi, tranne il Campionato del Mondo. Negli ultimi anni ha lavorato principalmente come allenatore di scacchi con giocatori che vanno dall'attuale campione del mondo Anand ai dilettanti locali in Germania, dove risiede.
ISBN: 978-1906552268 - 304 pagine - Pubblicato il 15 luglio 2009
Recensione
"Ogni capitolo inizia con l'introduzione di un tema, seguito da esempi progressivamente più difficili e infine da esercizi da risolvere con soluzioni dettagliate. Un approccio del genere è già stato visto in passato, ma mai così ben fatto. Ci si potrebbe chiedere perché sia necessario che un giocatore così quotato scriva un libro per giocatori meno esperti. La risposta è che Yusupov offre la rara combinazione di un'enorme conoscenza degli scacchi e della capacità e del desiderio di condividerla. Questo libro sarà utile non solo ai futuri maestri in erba, ma soprattutto a coloro che li allenano.... Altamente raccomandato" Jeremysilman.com (recensione completa)Aggiungi una confezione regalo, un’incisione – o entrambe – per renderlo davvero speciale!
Precisione tangibile
Ogni mossa rafforza curiosità, concentrazione e fiducia in sé stessi.











