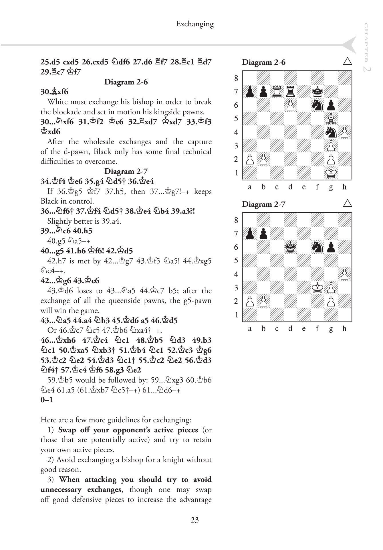
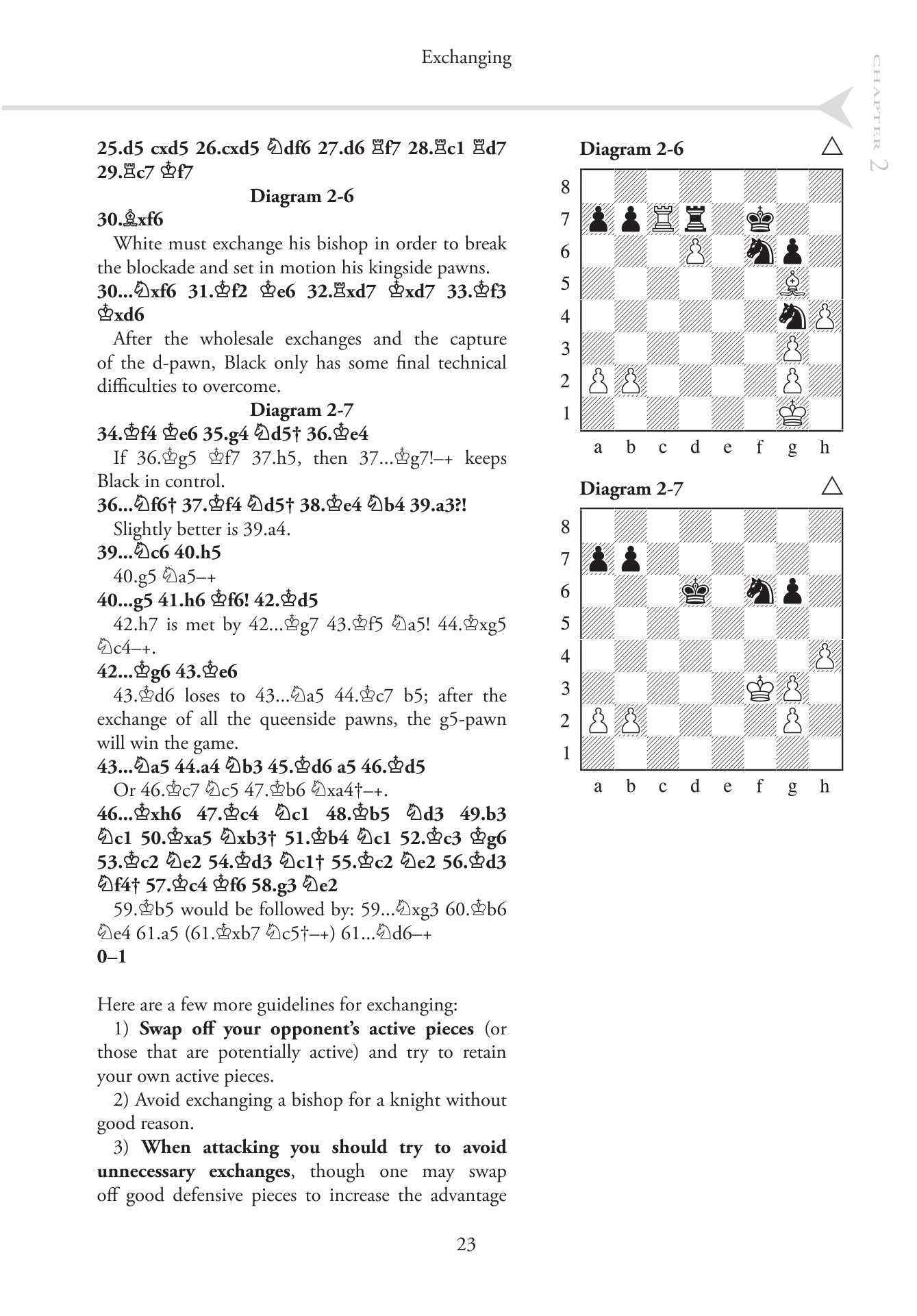
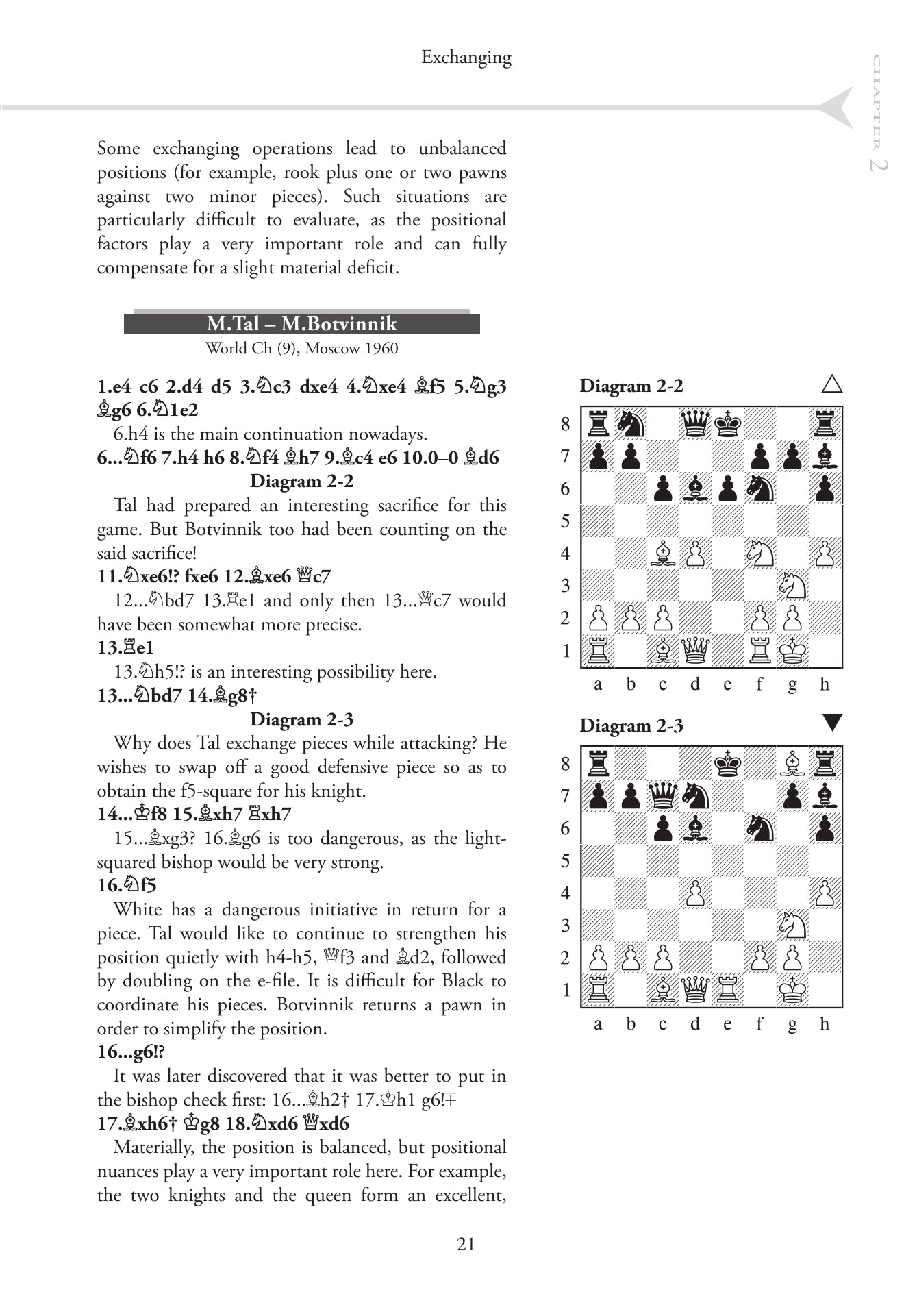
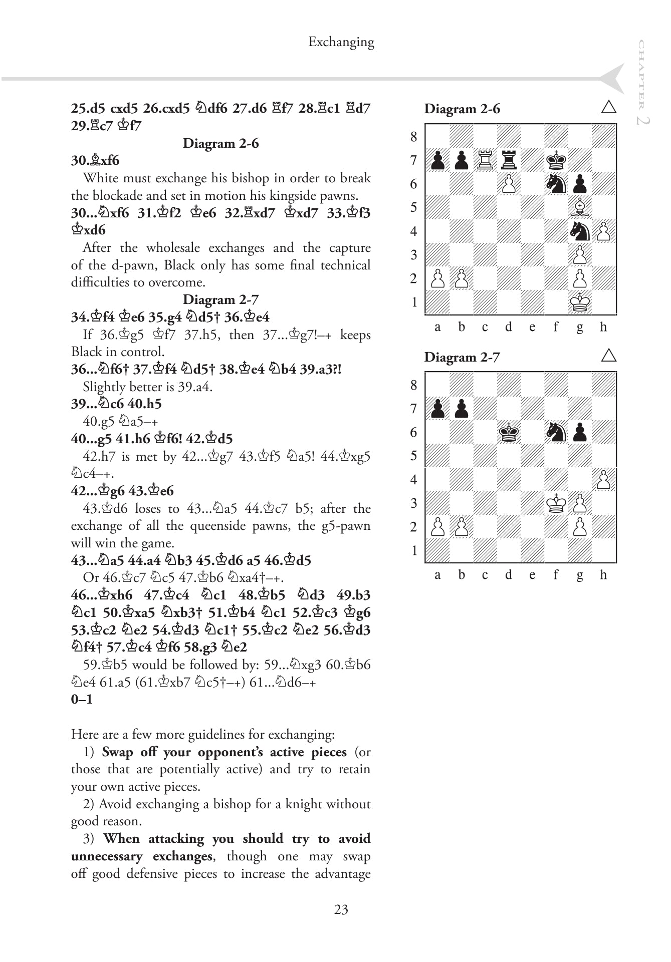
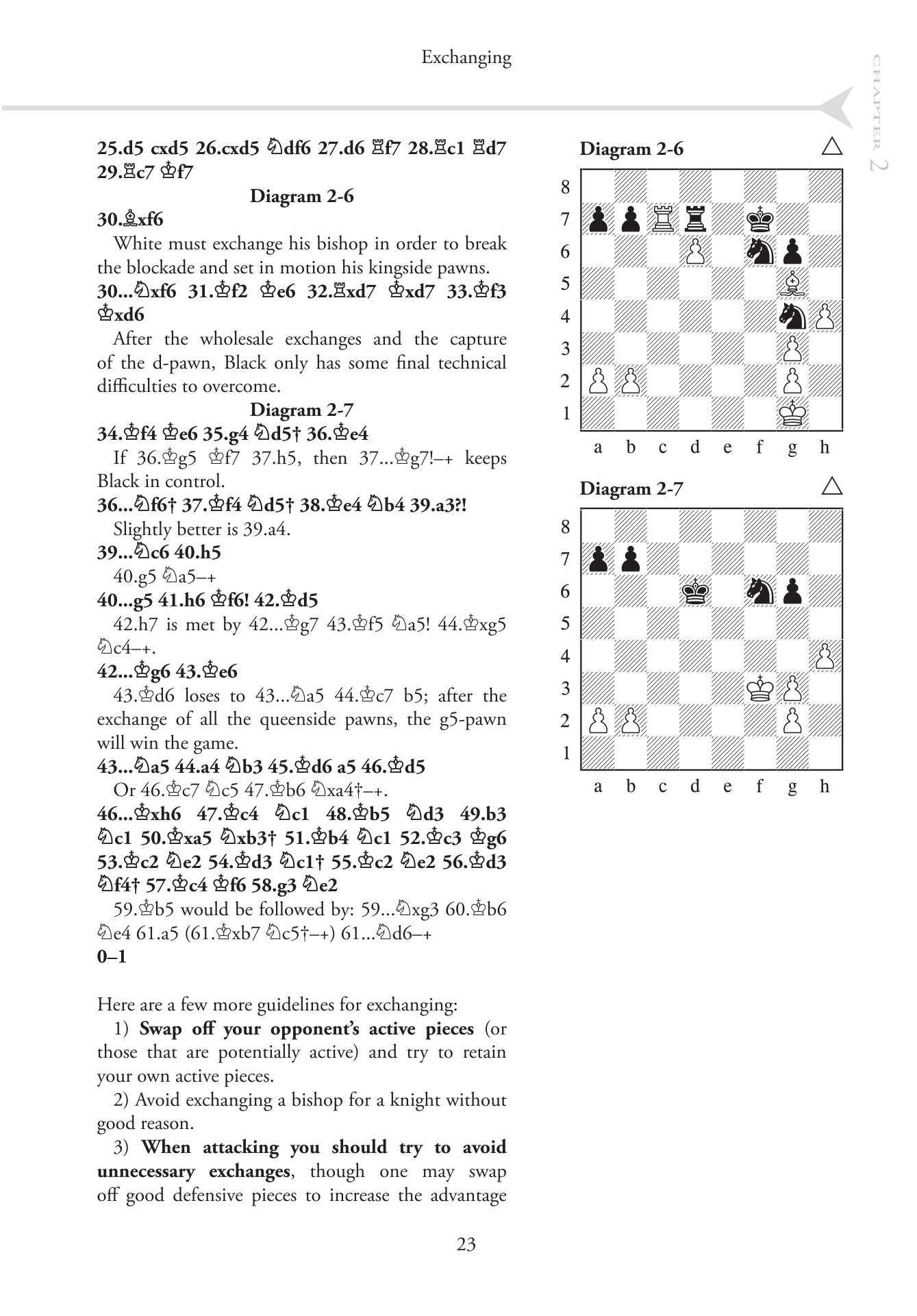
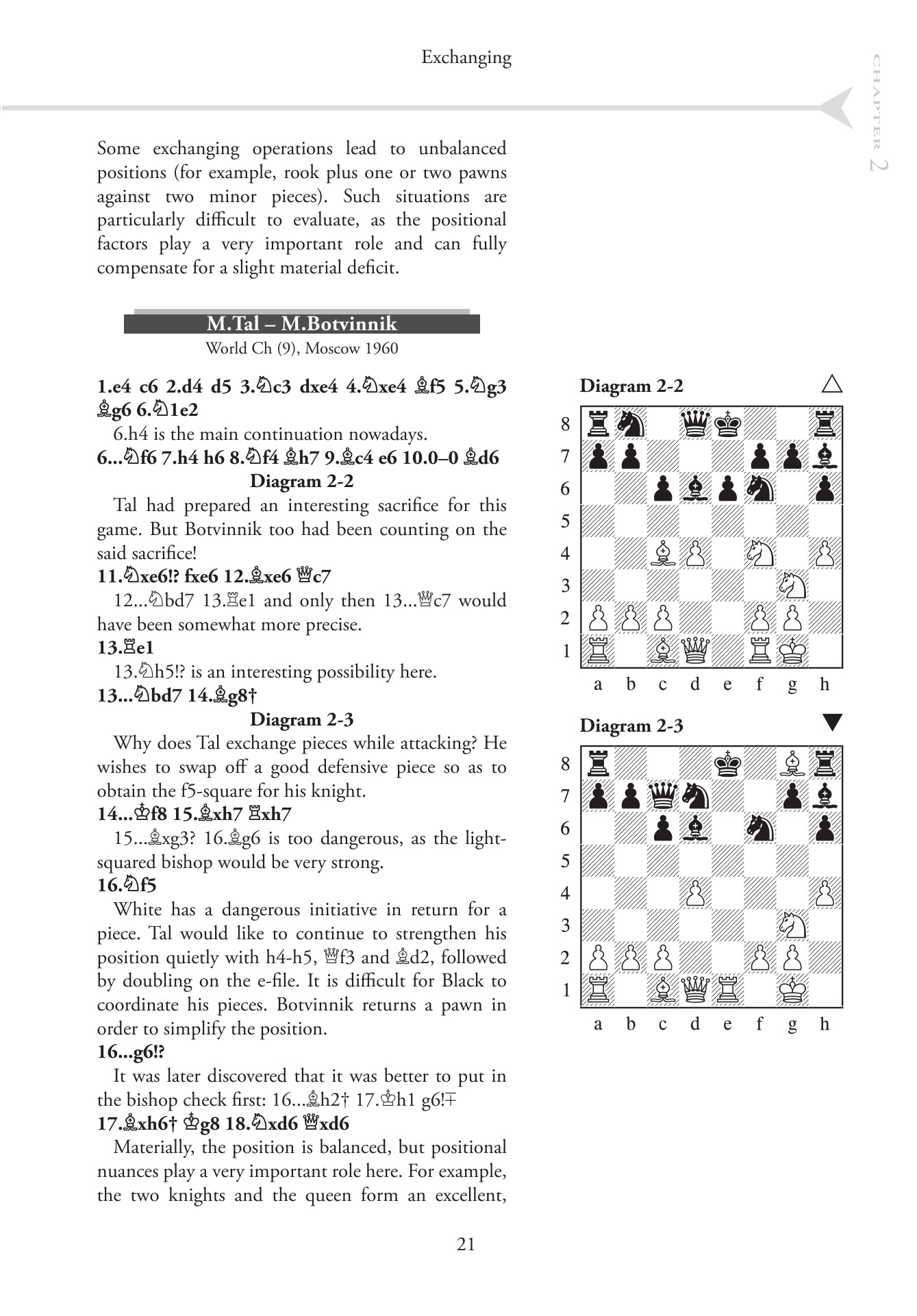
Chess Evolution 2 by Artur Yusupov (softcover)
Chess Evolution 2 continua la pluripremiata serie di istruzioni di Yusupov. La serie dei Fondamenti mostra ai giocatori le nozioni di base che dovrebbero conoscere, mentre la serie Oltre i Fondamenti li porta sulla strada della maestria. Yusupov guida il lettore verso un livello superiore di comprensione degli scacchi utilizzando posizioni e consigli accuratamente selezionati. Questa nuova comprensione viene poi messa alla prova da una serie di rompicapi.
Informazioni dettagliate sul premiato corso di formazione di Yusupov.
Il Grande Maestro Artur Yusupov è stato il numero 3 al mondo dal 1986 al 1992, subito dopo le leggende Karpov e Kasparov. Negli ultimi anni ha lavorato principalmente come allenatore con giocatori che vanno dall'attuale campione del mondo Vishy Anand e molti altri grandi maestri, a talentuosi juniores e dilettanti locali in Germania, dove risiede.
Pubblicato il 25 maggio 2012 - ISBN 978-1-906552-46-6 - 304 pagine
Recensioni
"Questi libri sono tutto ciò di cui un giocatore in crescita ha bisogno per ottenere grandi risultati! Ogni giocatore serio e ogni allenatore di scacchi legittimo dovrebbe avere l'intera serie. È un investimento di gran lunga migliore di qualsiasi libro di aperture".
Michael McGuerty, ChessCafe(recensione completa)
"Come già detto nelle precedenti recensioni di questa collana, questi libri hanno tre principali destinatari. Saranno utili per i giocatori che desiderano aumentare la loro forza per migliorare il loro punteggio, per gli allenatori che cercano un curriculum strutturato e/o materiale di allenamento utile e per coloro che desiderano aumentare la loro comprensione del gioco che, a causa di varie circostanze, potrebbero non essere più in grado di giocare regolarmente. Anche se Yusupov avverte modestamente nella sua introduzione che questa serie non sostituisce un allenatore, non c'è dubbio che lo studente motivato che lavora da solo può trarre molte conoscenze".
IM John Donaldson(recensione completa)
Aggiungi una confezione regalo, un’incisione – o entrambe – per renderlo davvero speciale!
Precisione tangibile
Ogni mossa rafforza curiosità, concentrazione e fiducia in sé stessi.











