Coffeehouse Repertoire 1.e4 Volume 1 by Gawain Jones (softcover)
Il GM Gawain Jones e il GM Jacob Aagaard su " Pensare ad alta voce" nell'allenamento scacchistico "killer".
Coffeehouse Repertoire è il sogno di ogni giocatore di 1.e4: un arsenale di idee di un grande maestro di fama mondiale per sorprendere e confondere i vostri avversari, combinando i trucchi del caffè con una completa solidità teorica.
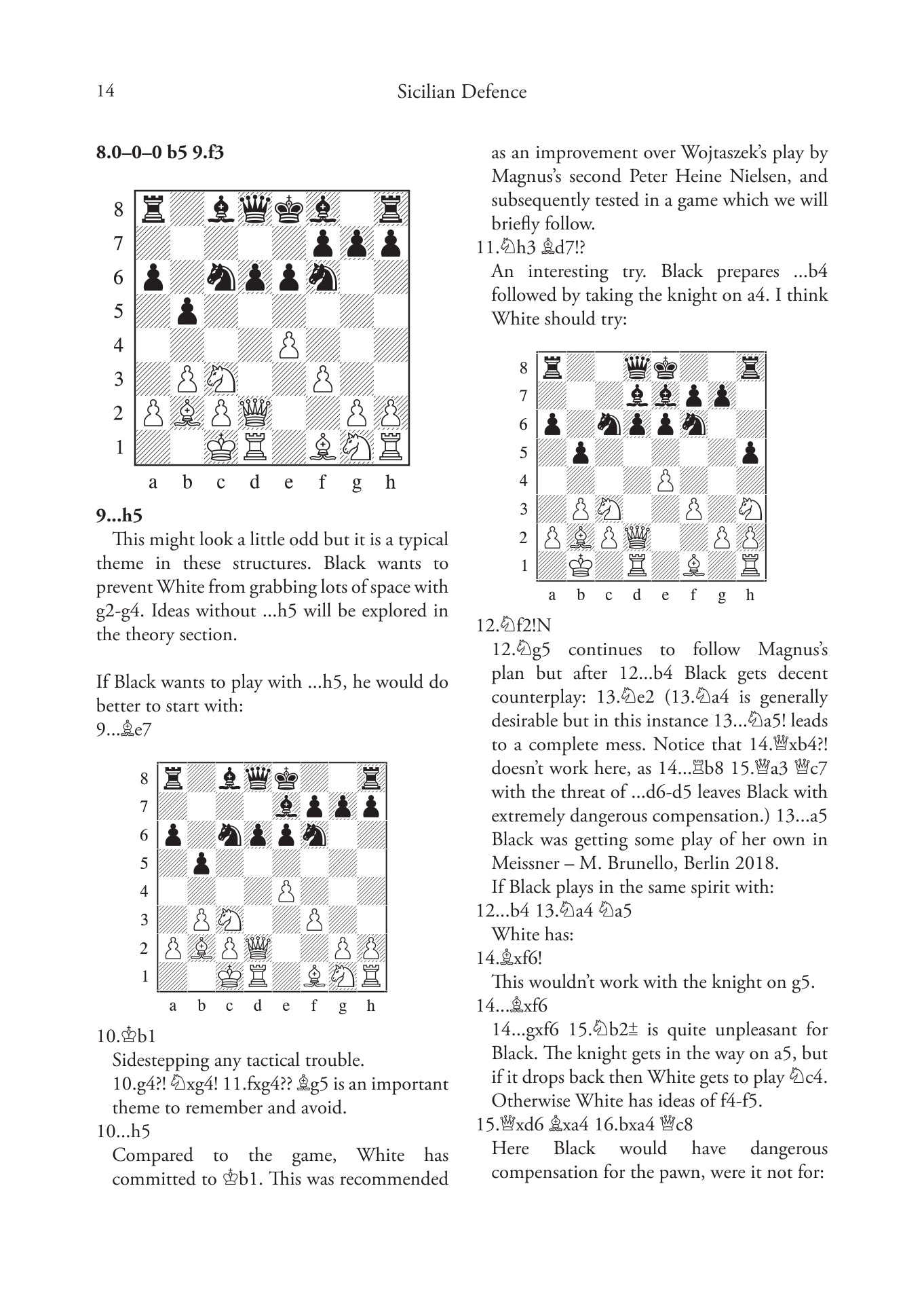
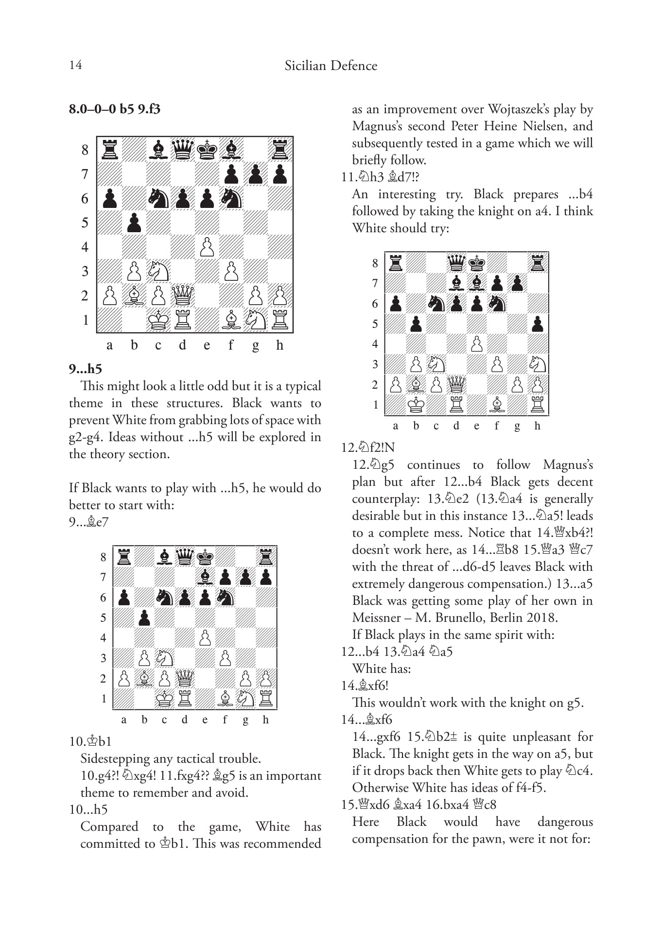
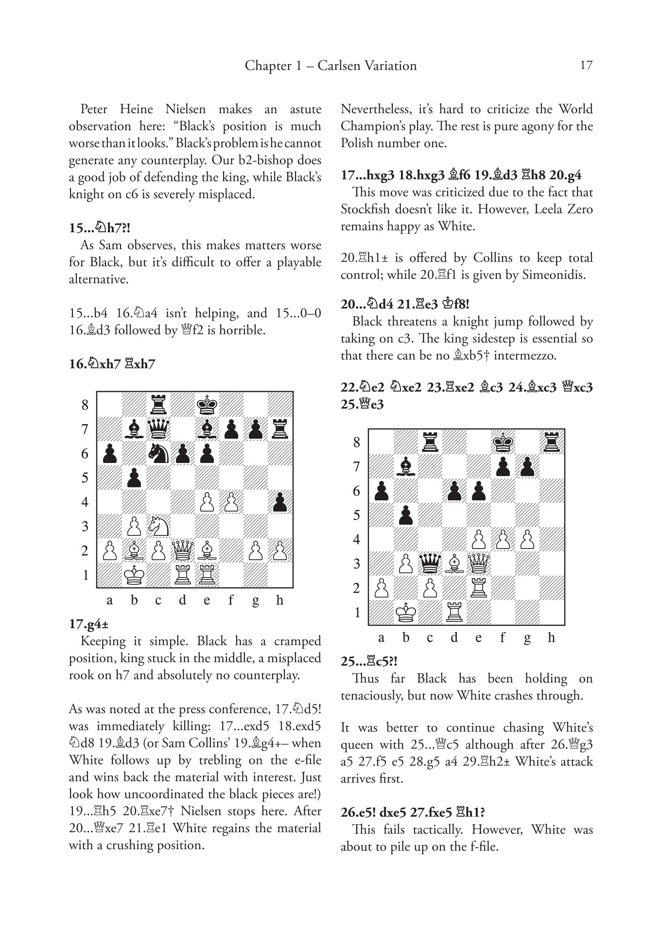
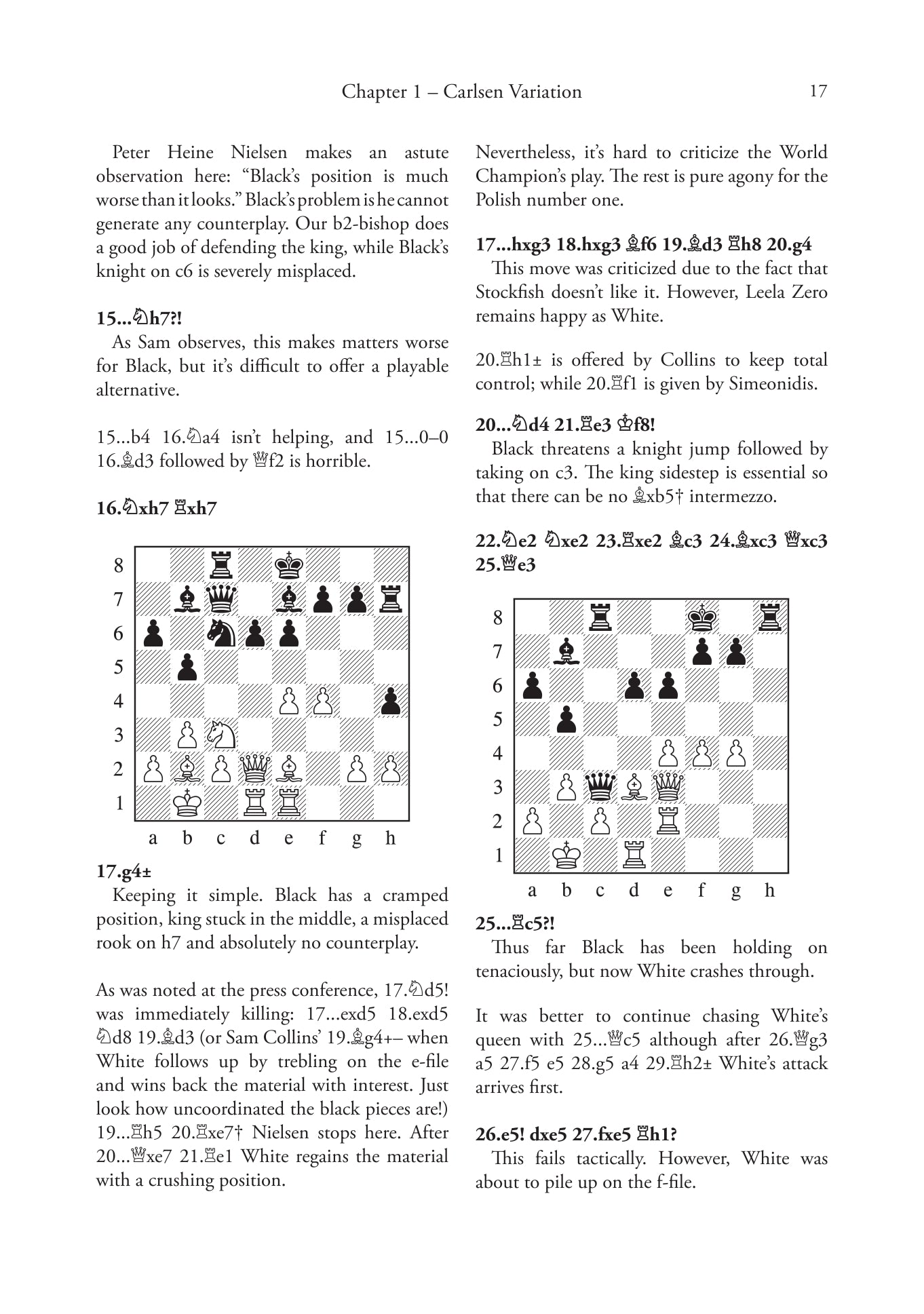
Nel primo volume, il GM Gawain Jones mostra come mettere sotto pressione le difese Siciliana, Caro-Kann, Scandinava e Alekhine, utilizzando linee che presentano una potente combinazione di valore di sorpresa, solidità oggettiva ed efficacia pratica.
Il repertorio Coffeehouse 1.e4 sarà completato nel secondo volume, che comprende 1...e5, oltre alle difese Francese, Pirc, Moderna, Philidor e altre difese varie.
Gawain Jones è un grande maestro inglese, due volte campione britannico e vincitore del Campionato Europeo Blitz 2020. Ha sconfitto alcuni dei migliori giocatori del mondo utilizzando le idee consigliate in questo libro.
432 pagine - Pubblicato il 30 giugno 2021
Libro in brossura ISBN: 978-1-78483-145-5
Aggiungi una confezione regalo, un’incisione – o entrambe – per renderlo davvero speciale!
Precisione tangibile
Ogni mossa rafforza curiosità, concentrazione e fiducia in sé stessi.















