Coffeehouse Repertoire 1.e4 Volume 2 by Gawain Jones (softcover)
Versione linguistica - Inglese.
Uscita prevista per la fine di agosto/inizio settembre 2021.
Il GM Gawain Jones e il GM Jacob Aagaard su Pensare ad alta voce nell'allenamento scacchistico killer
Coffeehouse Repertoire è il sogno di tutti i giocatori di 1.e4: un arsenale di idee di un grande maestro di fama mondiale per sorprendere e confondere gli avversari, combinando i trucchi del caffè con una completa solidità teorica.
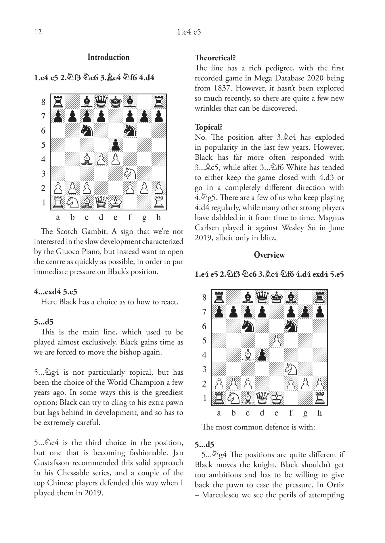
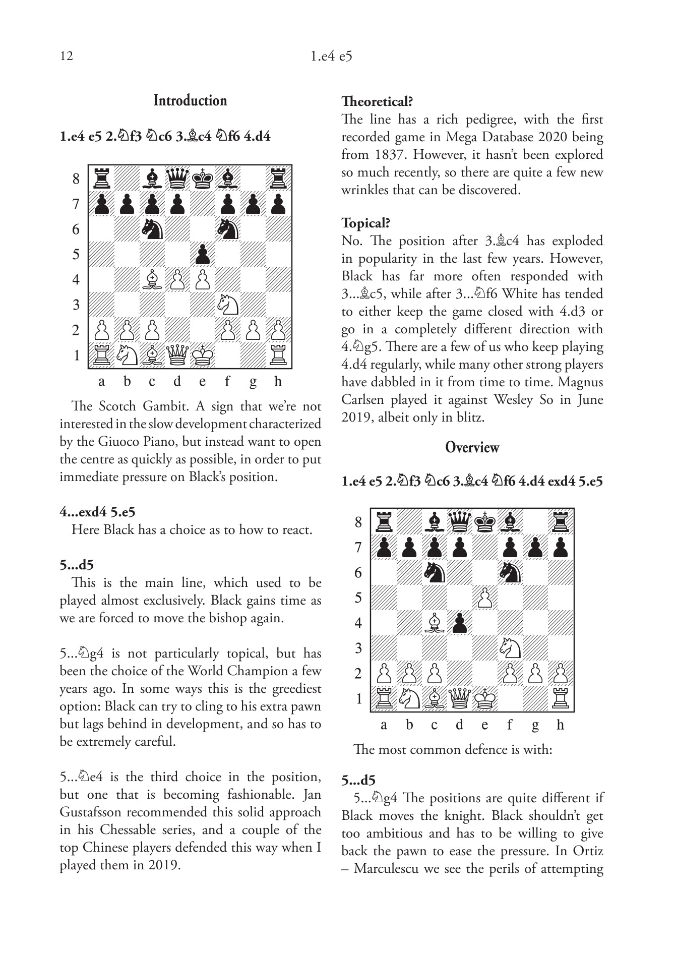
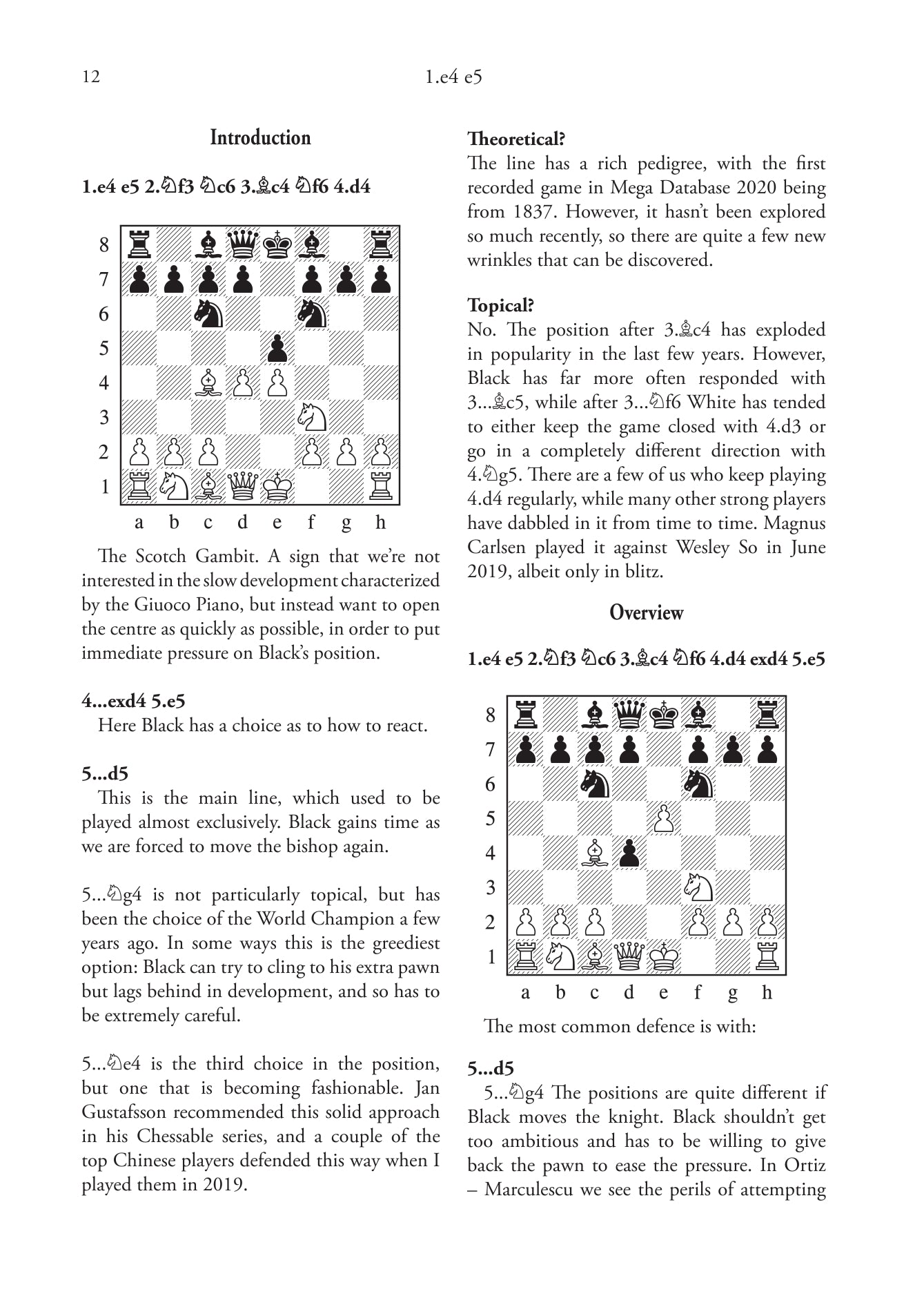
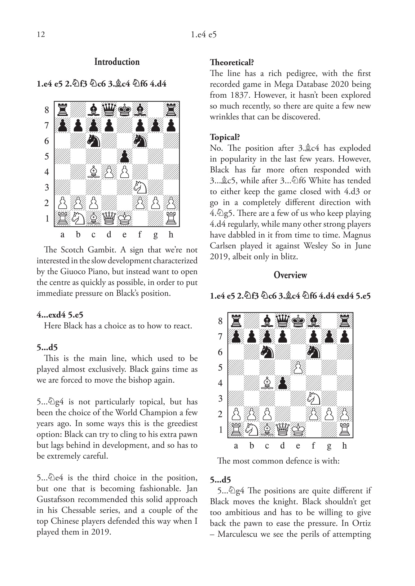
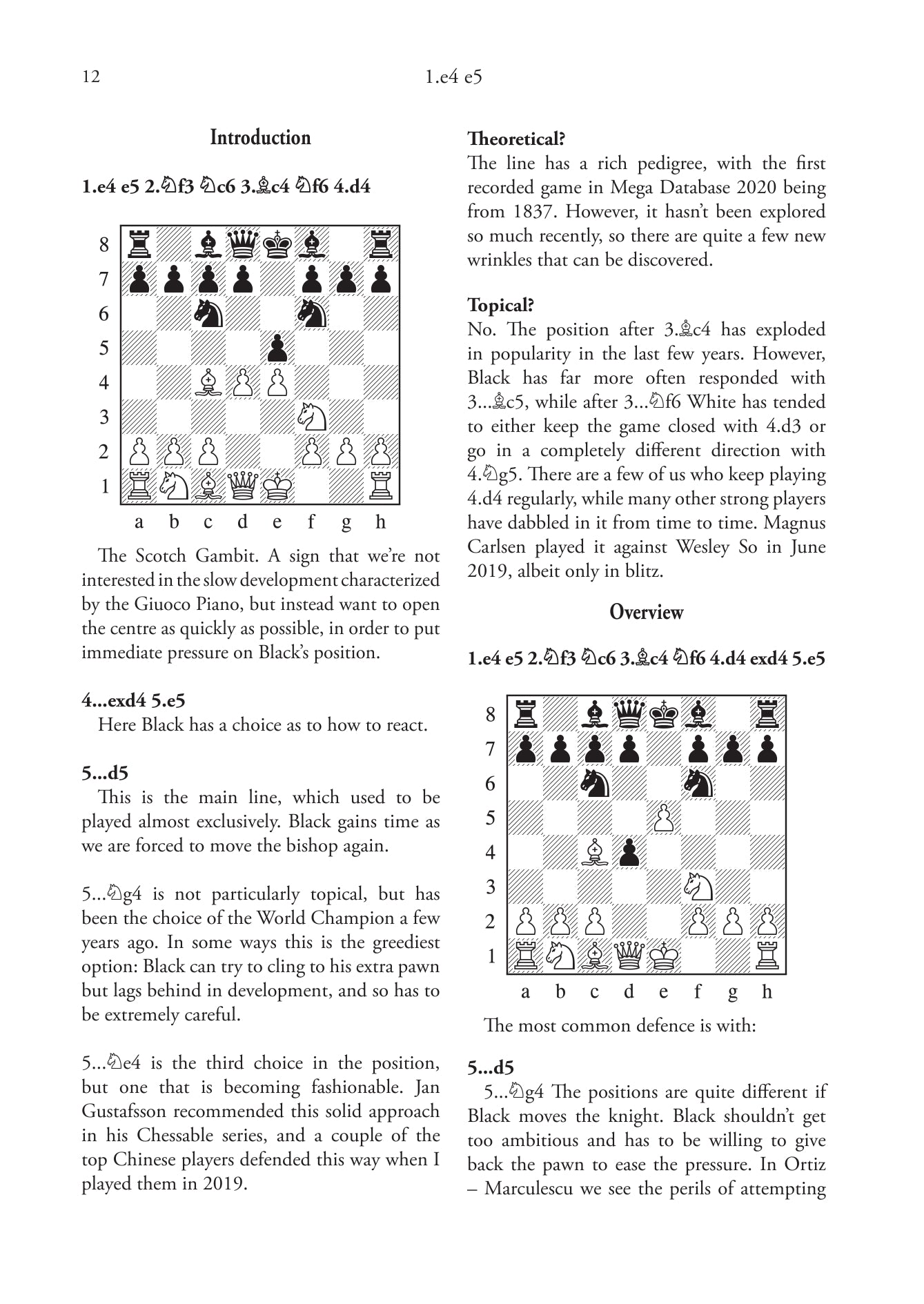
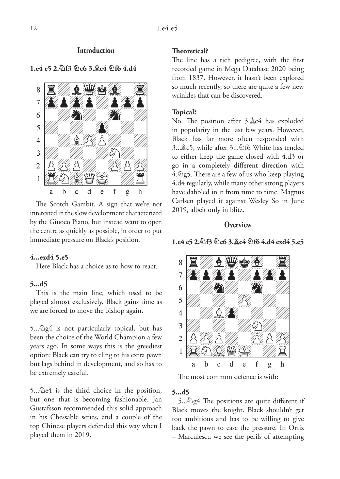
Nel secondo volume, il GM Gawain Jones mostra come combattere per ottenere un vantaggio contro la 1...e5, oltre alle difese Francese, Pirc, Moderna, Philidor e altre difese varie, utilizzando linee che presentano una potente combinazione di valore di sorpresa, solidità oggettiva ed efficacia pratica.
Ilvolume 1 completa il repertorio Coffeehouse 1.e4 e copre le difese Siciliana, Caro-Kann, Scandinava e Alekhine.
Gawain Jones è un grande maestro inglese, due volte campione britannico e vincitore del Campionato Europeo Blitz 2020. Ha sconfitto alcuni dei migliori giocatori del mondo utilizzando le idee consigliate in questo libro.
Aggiungi una confezione regalo, un’incisione – o entrambe – per renderlo davvero speciale!


Precisione tangibile
Ogni mossa rafforza curiosità, concentrazione e fiducia in sé stessi.