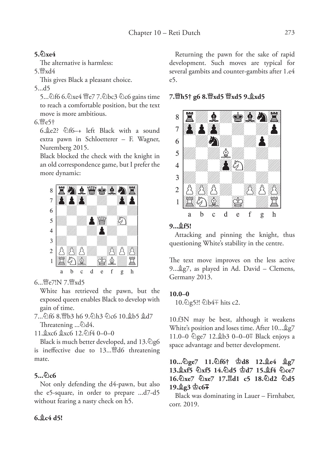
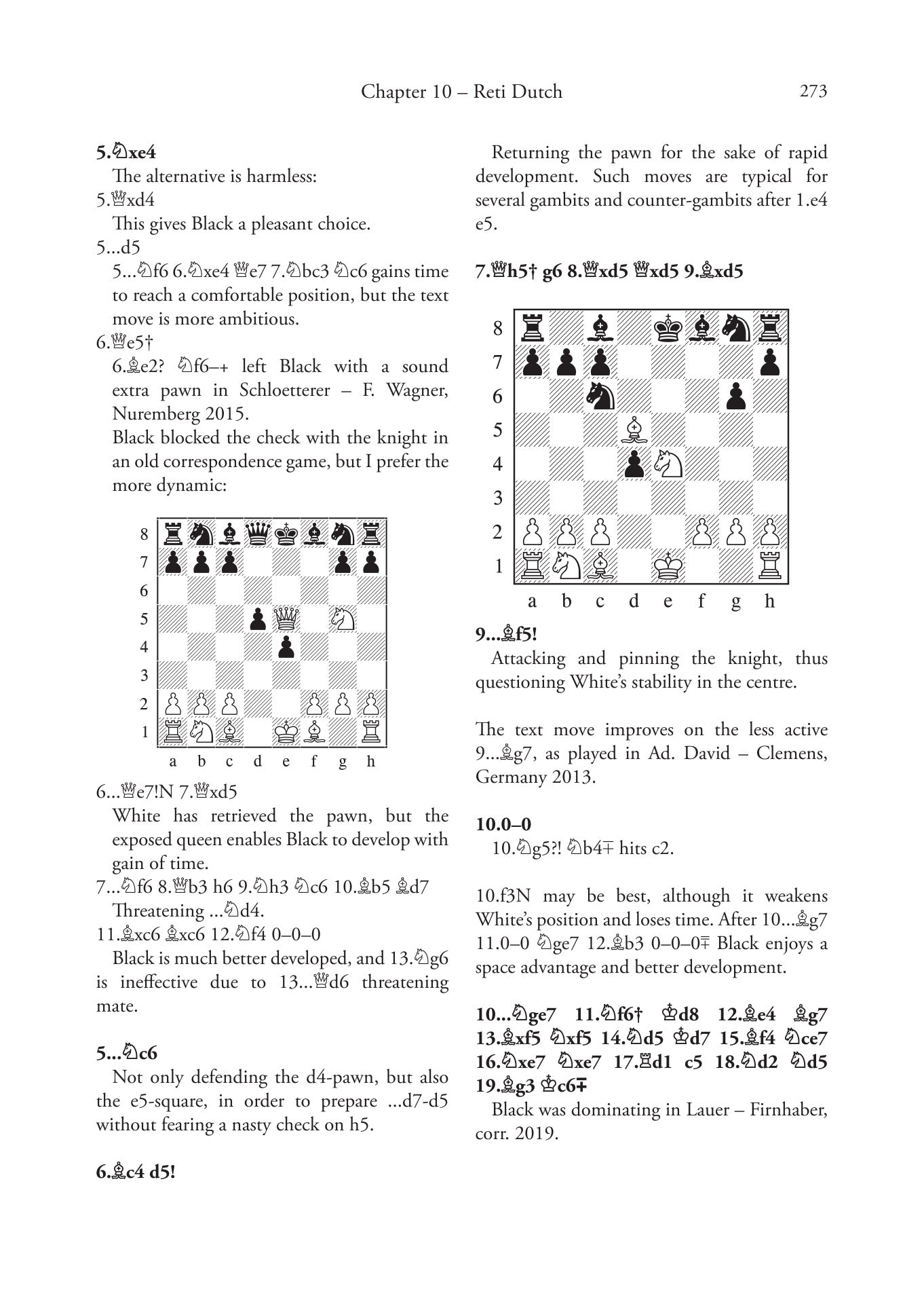
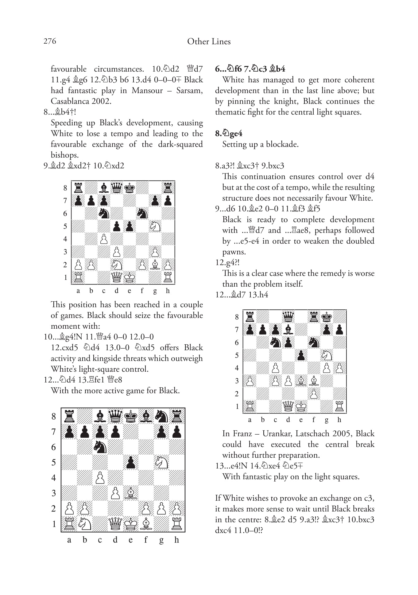
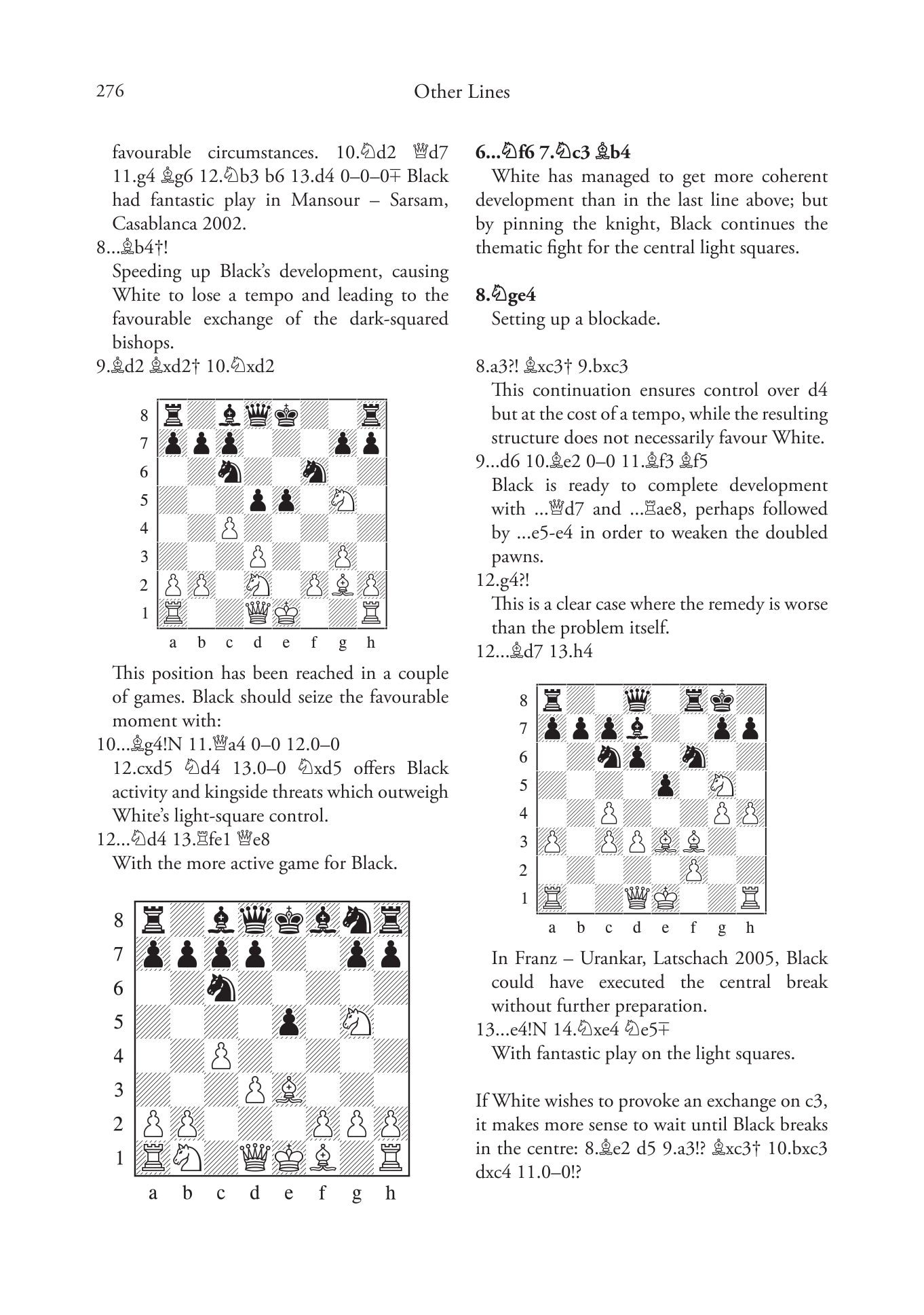
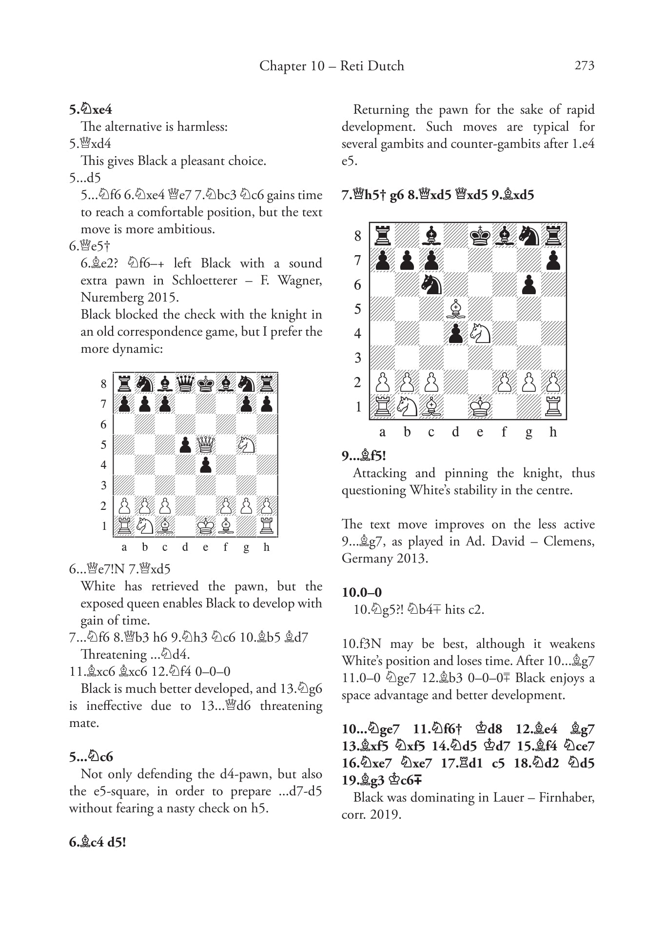
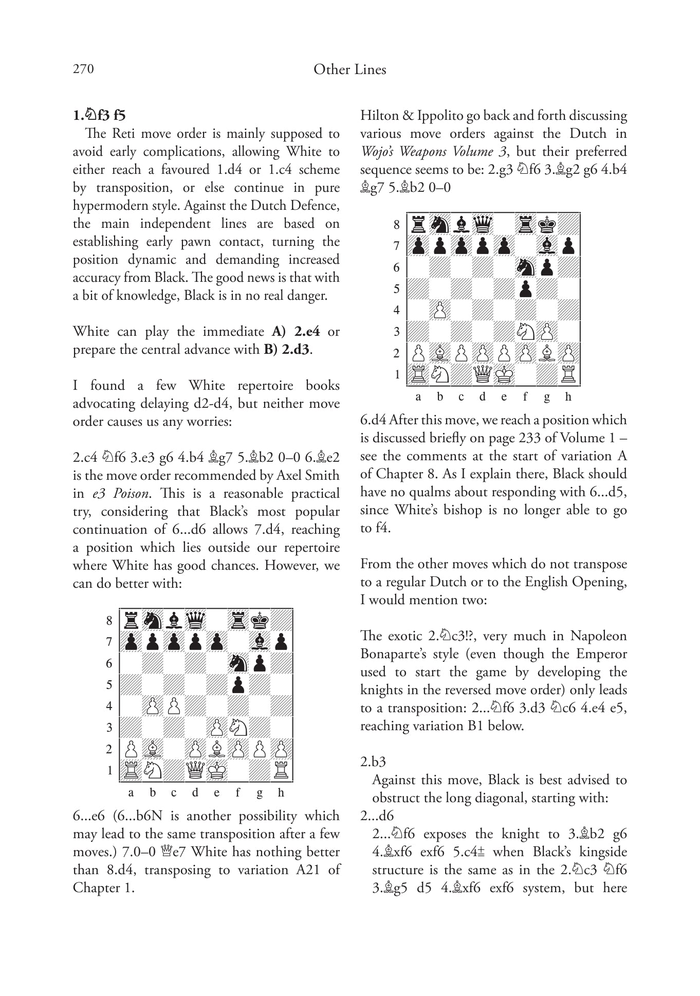
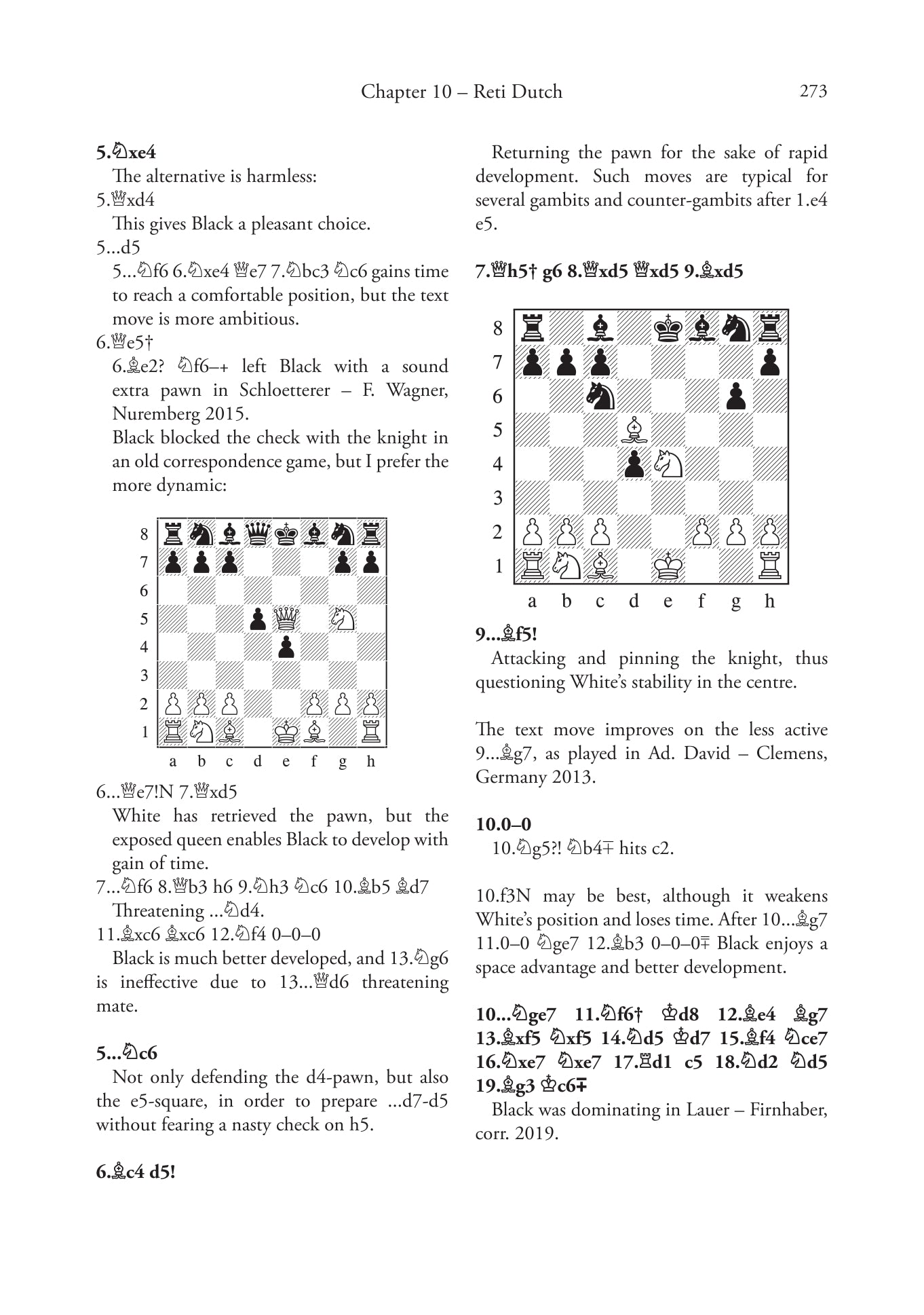
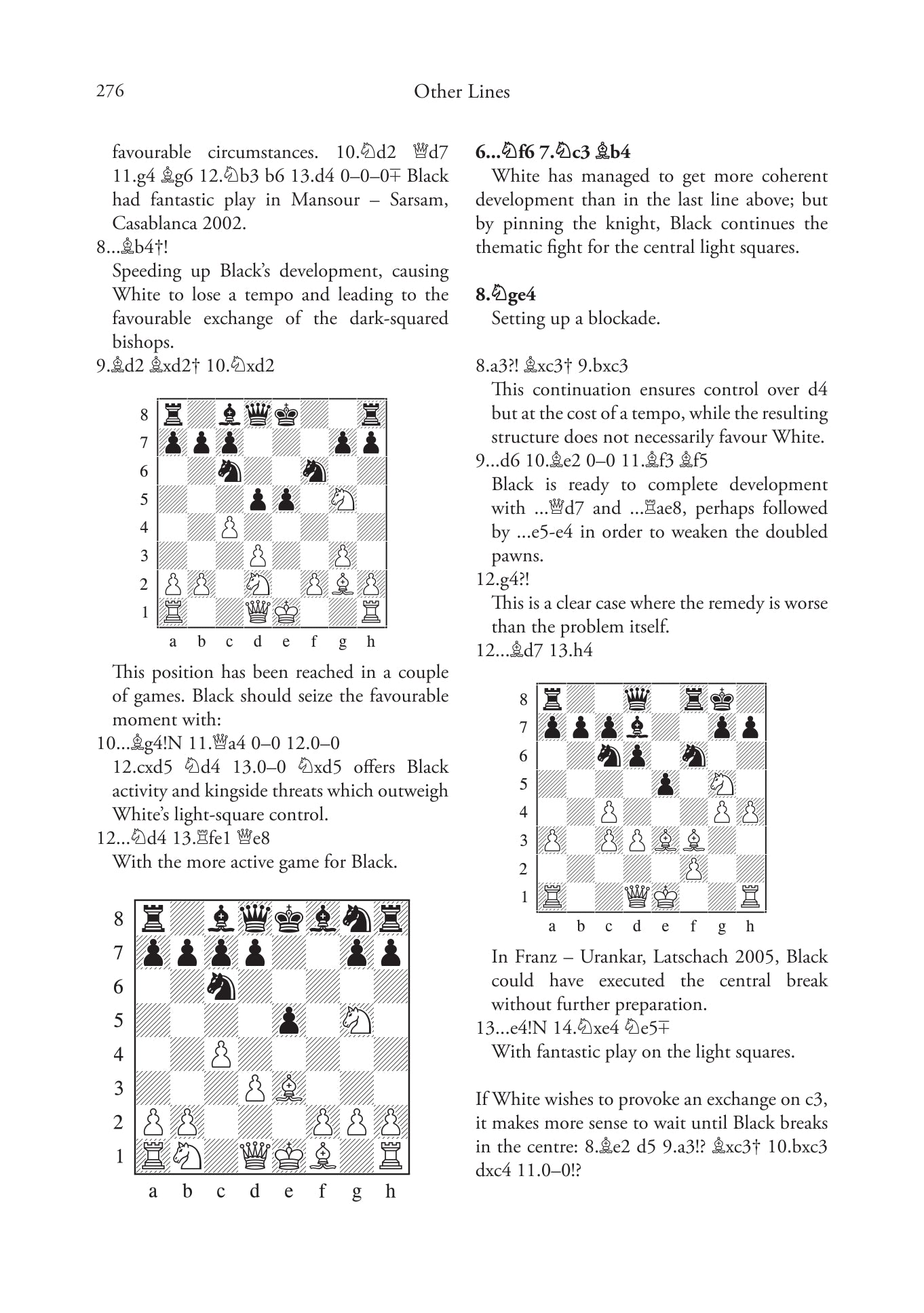
Dutch Sidelines by Mihail Marin (softcover)
L'Olandese è una delle risposte più ambiziose del Nero a 1.d4, poiché con 1...f5 il Nero crea un gioco asimmetrico e ricco di complessità. Mihail Marin è l'autore ideale per spiegare sia le idee strategiche che la teoria più recente.
Dutch Sidelines copre le linee in cui il Bianco non fiancheggia l'alfiere del Re. Queste includono le linee 1.d4 f5 2.c4, così come le opzioni anti-olandesi come 2.Bg5, 2.Nc3 e vari gambit. Inoltre, l'autore offre un'ampia guida su come affrontare 1.Nf3 e 1.c4 in stile olandese. Il volume di accompagnamento, Olandese di Leningradoè la pietra miliare del repertorio olandese del Nero.
Mihail Marin è un grande maestro rumeno. I suoi precedenti libri per Quality Chess lo hanno consacrato come uno dei migliori autori di scacchi al mondo.
Elogi per i precedenti lavori dell'autore:
"Scritto in modo splendido e stimolante" GM Luke McShane
"Un'esposizione tipicamente lucida e approfondita da parte dell'autore di scacchi forse più perspicace e affidabile che scriva oggi". GM Jonathan Rowson, New in Chess
Pubblicazione prevista per marzo/aprile 2021
ISBN in brossura: 978-1-78483-103-5
Copertina rigida ISBN: 978-1-78483-104-2
Aggiungi una confezione regalo, un’incisione – o entrambe – per renderlo davvero speciale!
Precisione tangibile
Ogni mossa rafforza curiosità, concentrazione e fiducia in sé stessi.














