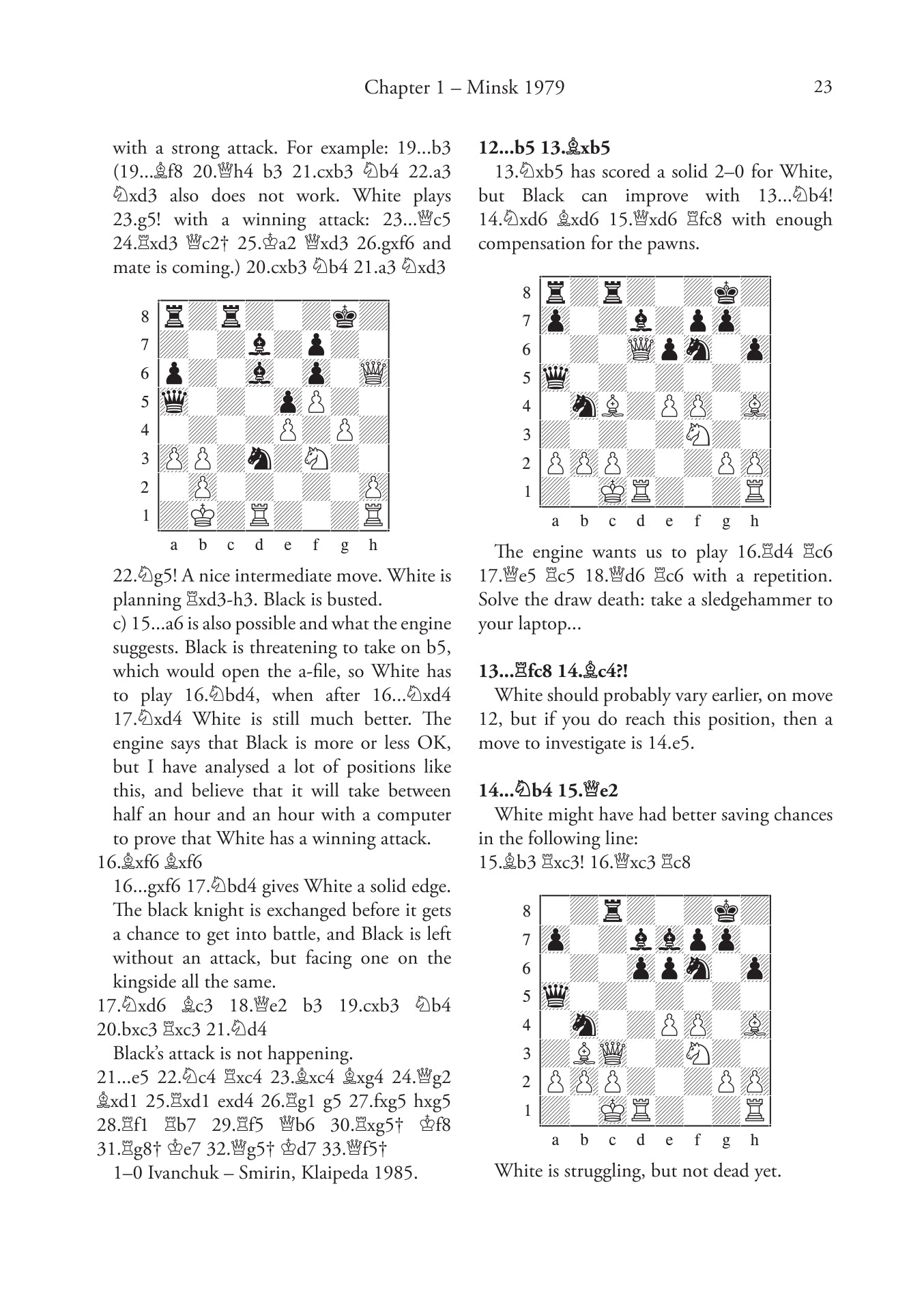
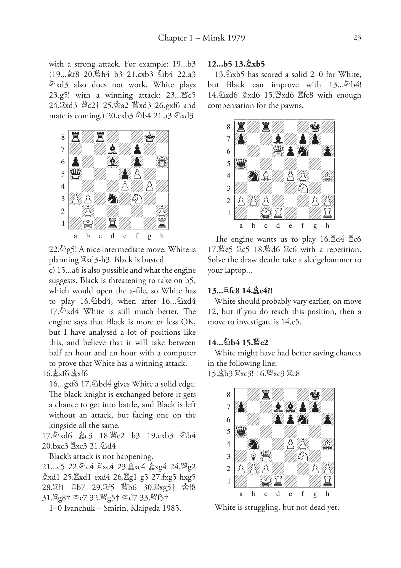
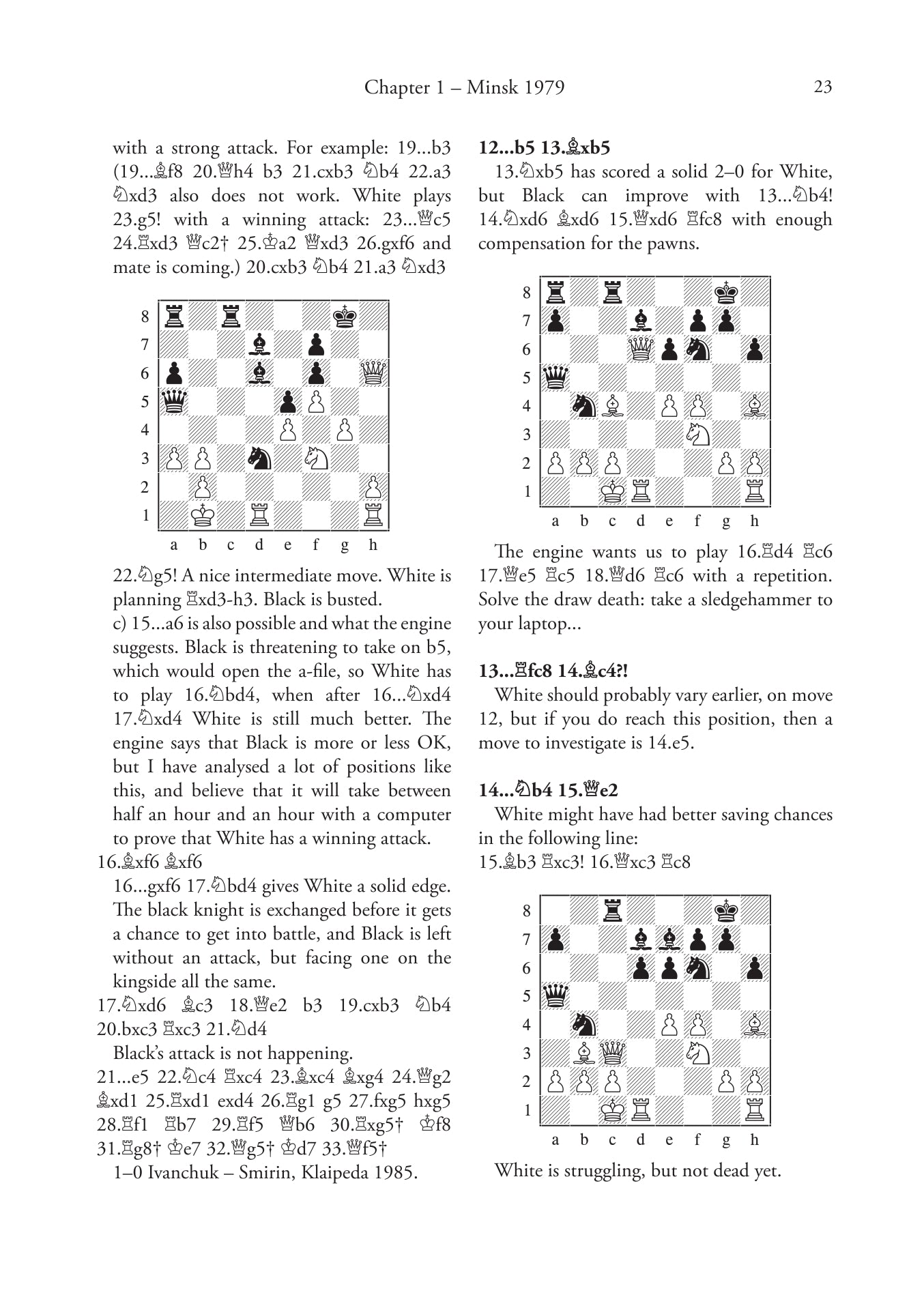
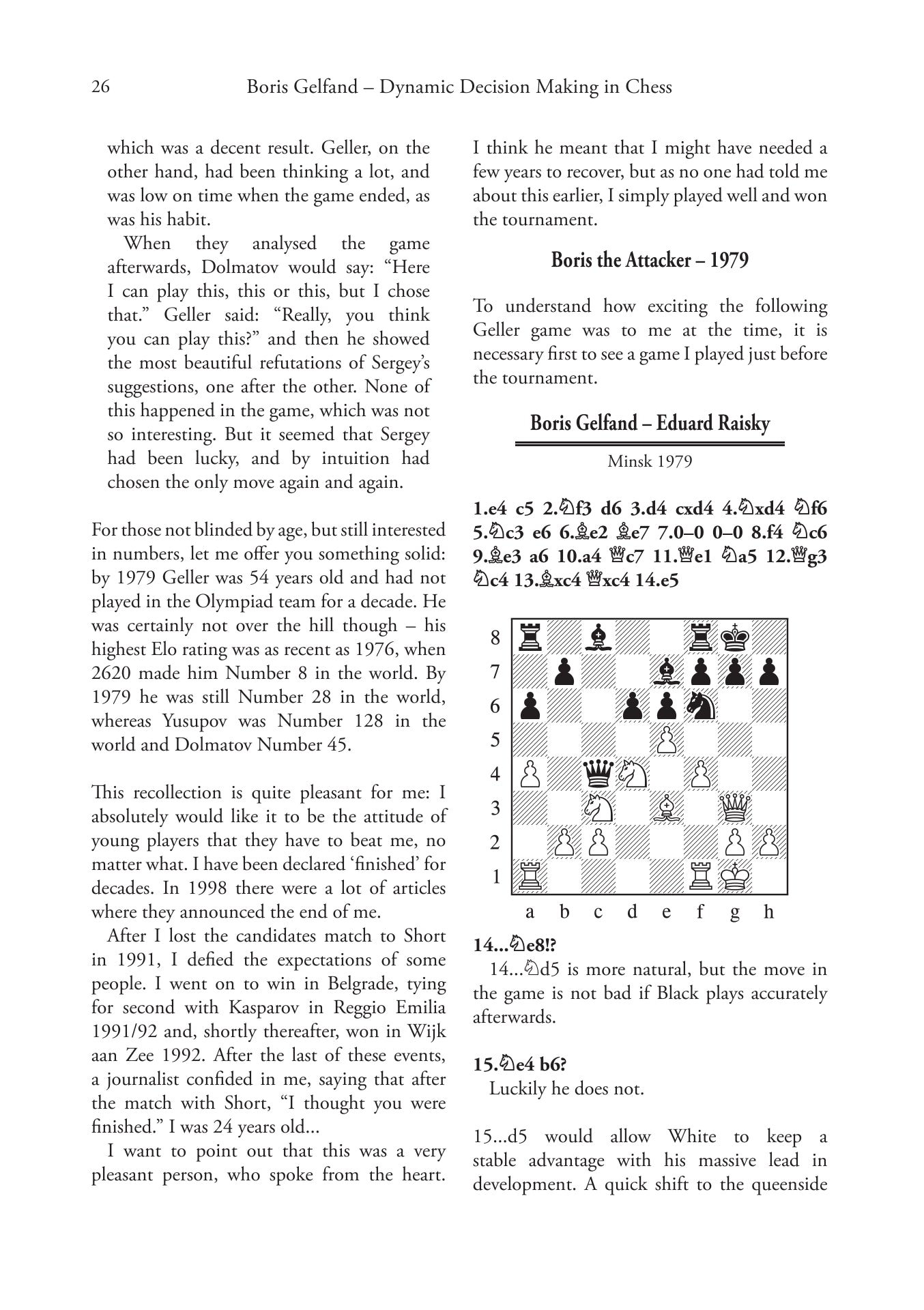
Dynamic Decision Making in Chess by Boris Gelfand (softcover)
In Dynamic Decision Making in Chess l'ex sfidante del Campionato del Mondo Boris Gelfand continua la sua indagine sul processo decisionale ai massimi livelli, discutendo alcune delle sue migliori partite e dei suoi peggiori scivoloni, offrendo al lettore una visione unica della mente di un grande maestro di livello mondiale.
IlGrande Maestro Boris Gelfand è stato un giocatore d'élite per 30 anni, vincendo la Coppa del Mondo, l'Oro delle Olimpiadi, i Candidati e molti altri tornei di alto livello. Nel 2015 Positional Decision Making in Chess ha vinto il premio ECF Book of the Year.
IlGrande Maestro Jacob Aagaard è l'unico scrittore di scacchi ad aver vinto tutti i principali premi per la scrittura scacchistica.
ISBN brossura: 978-1-78483-012-0 copertina rigida: 978-1-78483-013-7
288 pagine - Pubblicato in copertina rigida il 31 agosto 2016.
Il libro in brossura sarà disponibile nel 2017
Reazione a Positional Decision Making in Chess:
"Gelfand è molto bravo - e molto onesto - nello spiegare quali decisioni poteva calcolare e quali doveva prendere sulla base del giudizio, e come lo faceva.... Tutto ciò si aggiunge al tipo di libro che amo.... Penso che questo libro abbia masse da insegnare a qualsiasi forza di giocatore". GM Matthew Sadler, New in Chess
"La guida agli scacchi decisionali più utile che abbia mai letto". GM David Smerdon
"Una rivelazione". GM Lubomir Kavalek
"Gelfand ci ha regalato un libro superlativo.... Questo potrebbe essere il libro dell'anno e gli studenti seri della pratica scacchistica moderna non dovrebbero perdersi le sue lezioni". John Hartmann, Chess Life
Recensioni
"Questo è un libro sul dubbio, sull'indovinare le decisioni, sul calcolo e sulla visione di molte cose che però sfuggono e su come tutto ciò si traduca in partite pratiche ai massimi livelli.
In conclusione, questo è un libro che parla alla vostra anima pratica.... è un'opportunità inestimabile per confrontare il proprio processo di pensiero con il modo in cui un grande maestro prende decisioni difficili".
GM Matthew Sadler, New in Chess
Positional Decision Making in Chess di Gelfand è stato nominato l'anno scorso libro dell'anno dell'ECF, e anche il seguito Dynamic Decision Making in Chess è degno di grande rispetto. Il formato è quello giusto, con molto testo e non troppe varianti".
GM Simen Agdestein
"Il processo decisionale dinamico negli scacchi è un libro meraviglioso, uno dei migliori del suo genere.... L'analisi è più adatta agli esperti e ai giocatori di livello superiore, ma i giocatori di qualsiasi forza non possono fare a meno di imparare da questo libro".
John Hartmann, Chess Life
"Il carattere e la personalità di Gelfand risplendono davvero in questa serie di libri, che si sta configurando come una serie da acquistare assolutamente. I giocatori fino al livello di gran maestro, e anche quelli più esperti, troveranno qui molto interesse, sia che si tratti di aneddoti originali, di consigli o di annotazioni approfondite".
Sean Marsh, rivista CHESS
"Karjakin-Gelfand ... una partita splendidamente analizzata (e ce ne sono molte in questo libro) in cui si impara non solo sull'apertura e sulla dinamica degli scacchi, ma su tutti gli aspetti di una partita di scacchi, compresi i fattori psicologici che giocano sempre un ruolo maggiore di quanto si possa pensare. Non per niente il primo libro di questa serie, 'Positional Decision Making', è stato proclamato libro dell'anno dell'ECF".
Bab Wilders, Nederlands Dagblad
Aggiungi una confezione regalo, un’incisione – o entrambe – per renderlo davvero speciale!
Precisione tangibile
Ogni mossa rafforza curiosità, concentrazione e fiducia in sé stessi.














