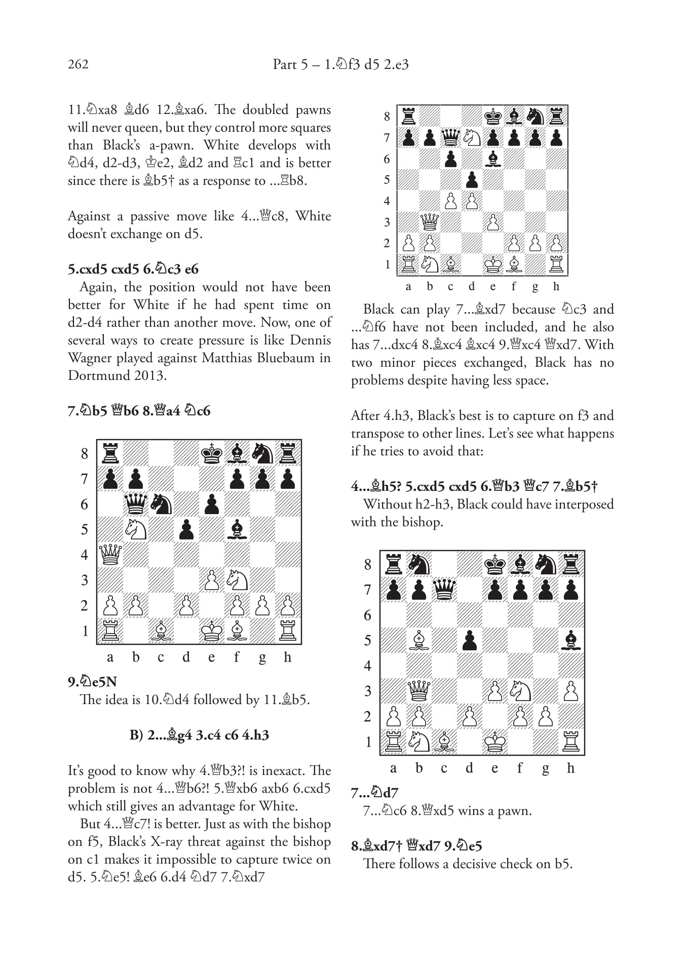
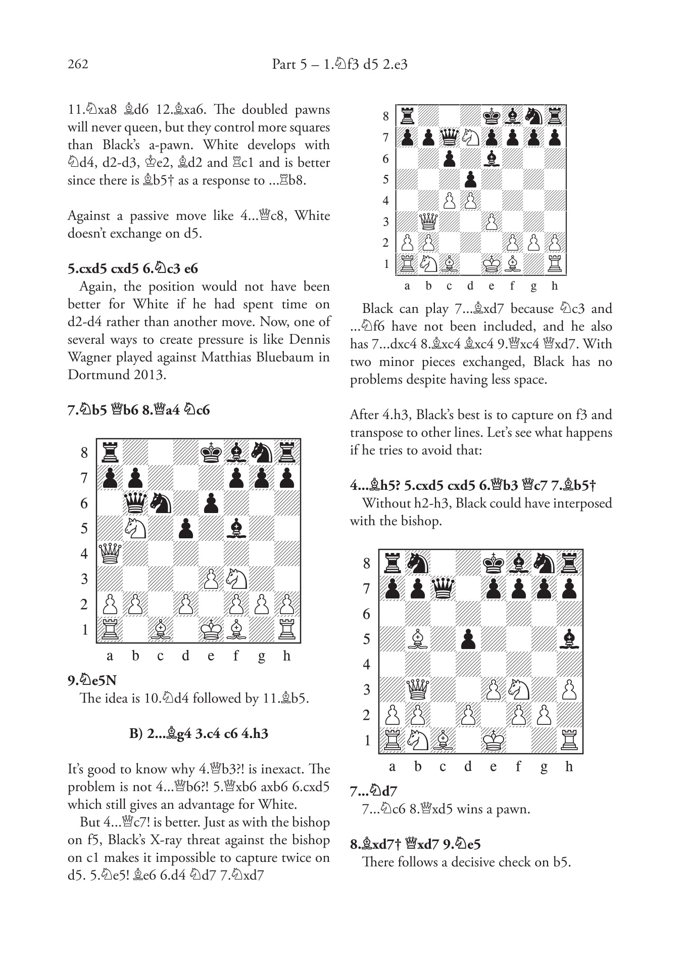
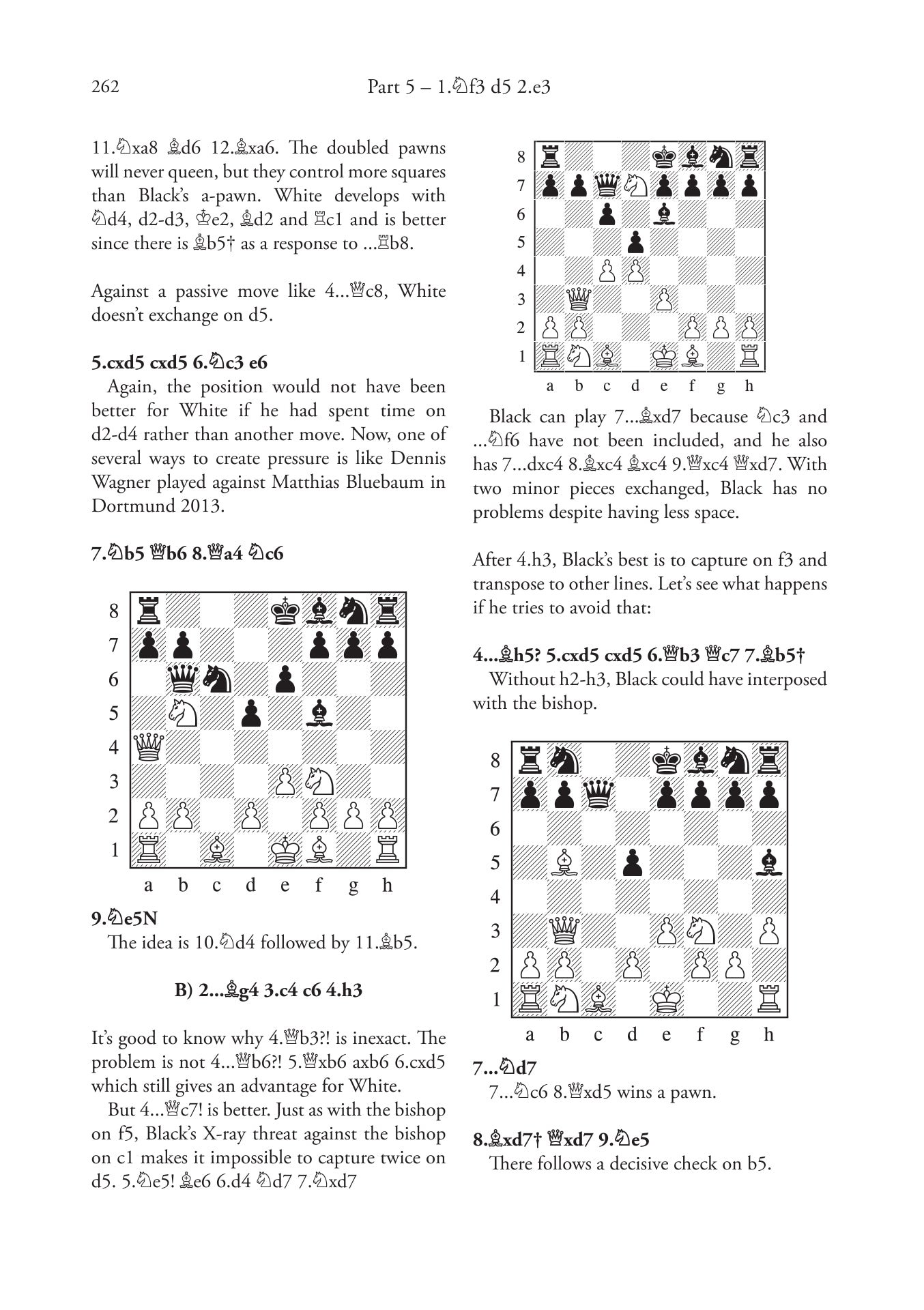
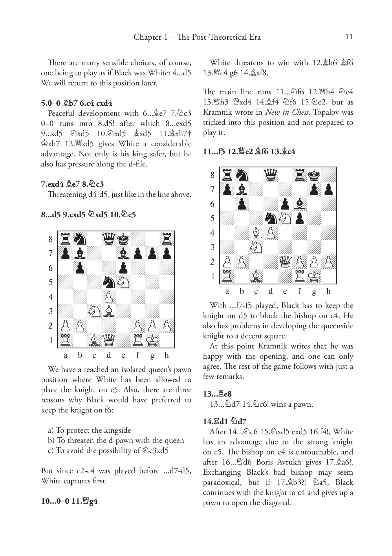
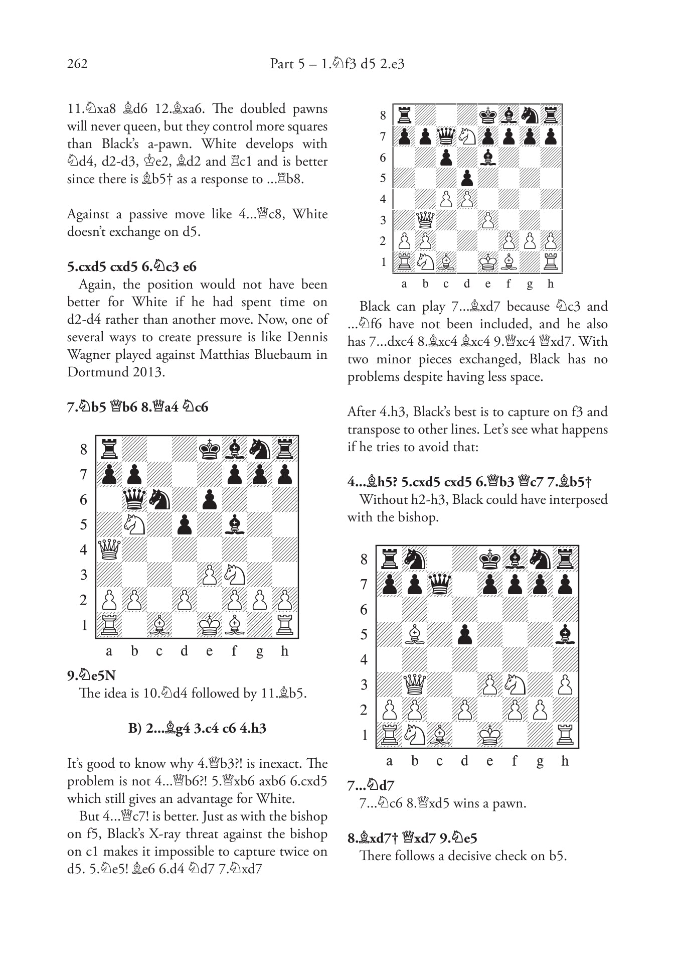
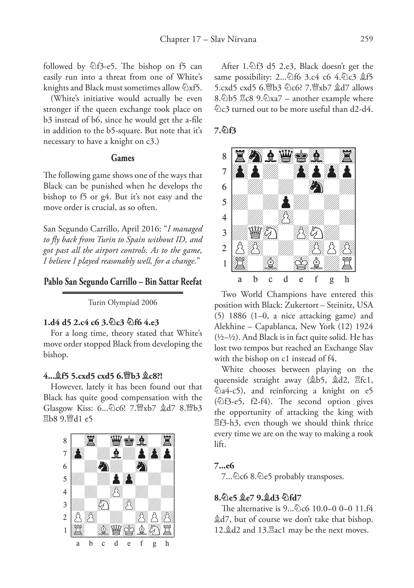
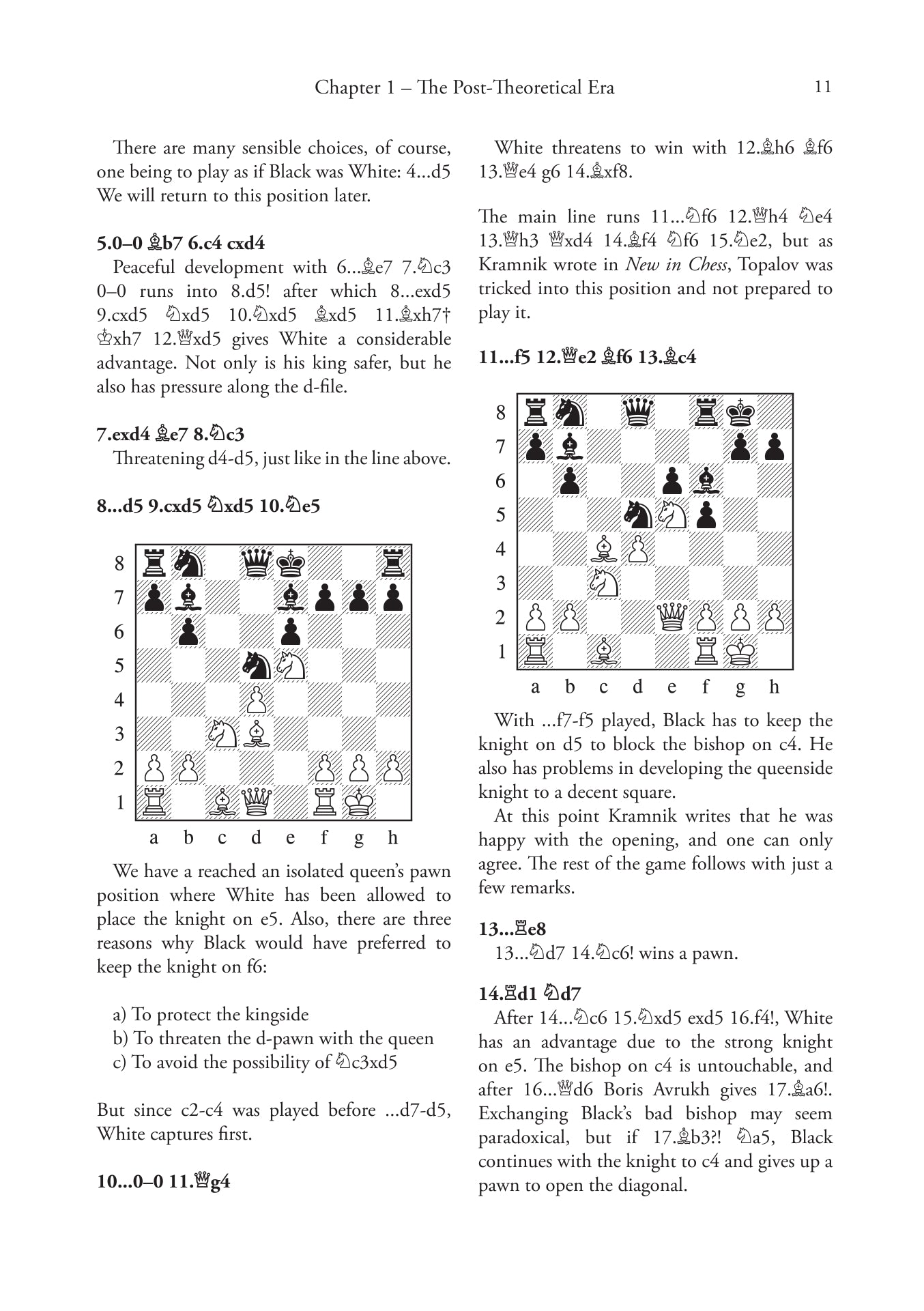
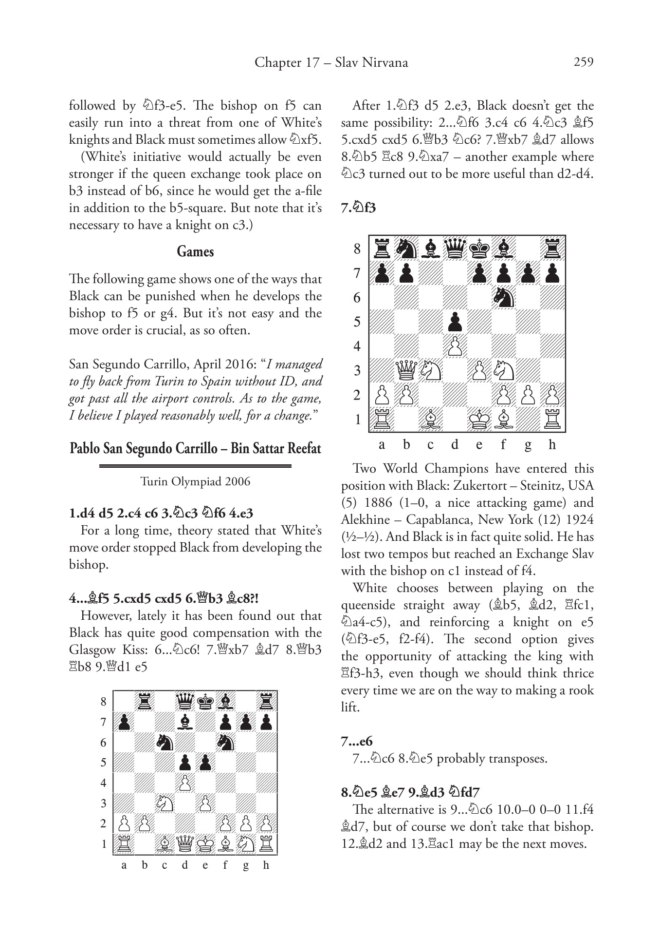
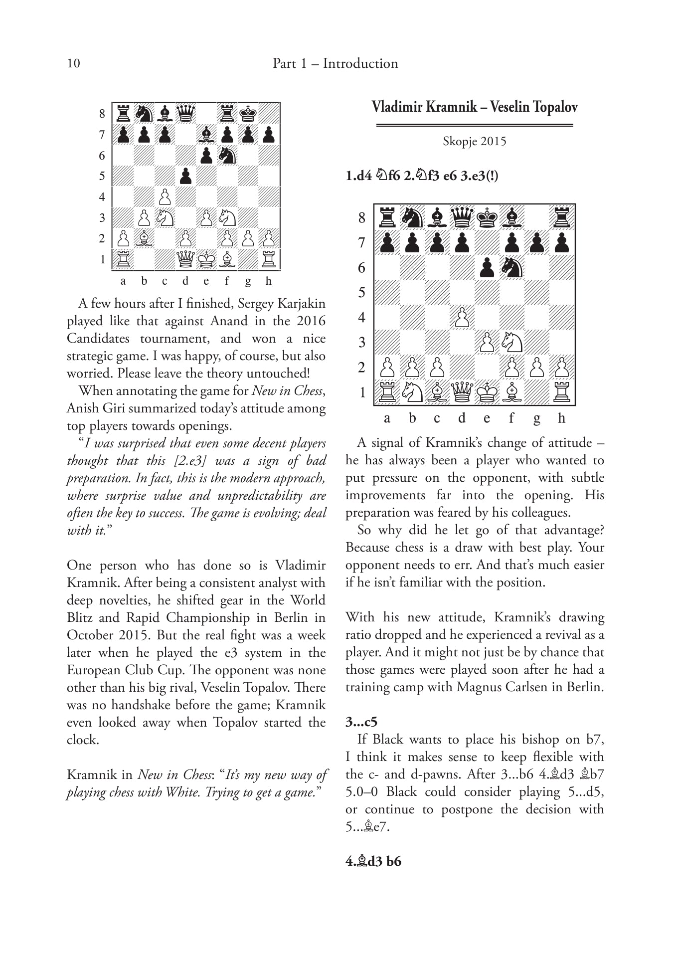
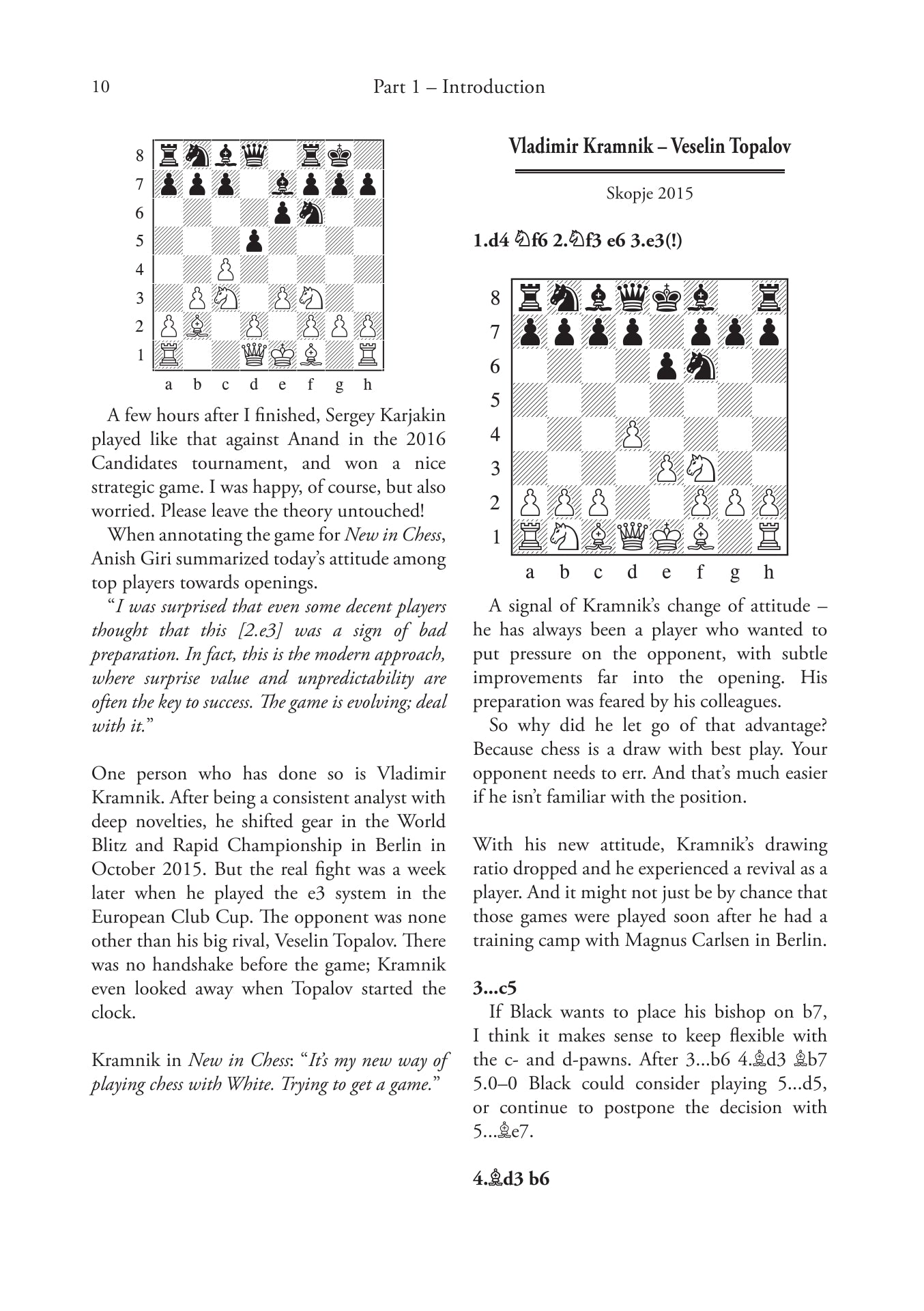
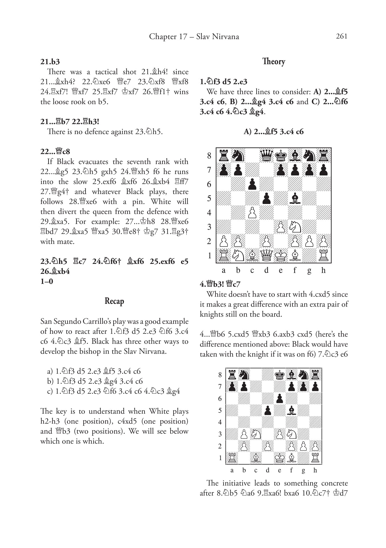
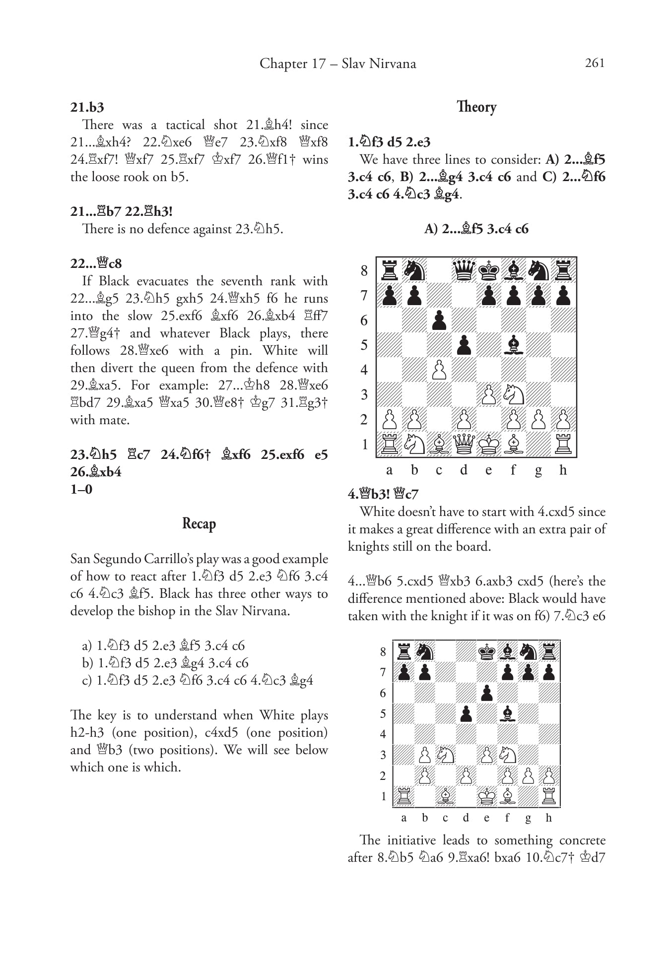
e3 Poison by Axel Smith (hardcover)
Quando Axel Smith stava inseguendo la sua ultima norma di Grandmaster, decise che aveva bisogno di un cambiamento nel suo repertorio di aperture in bianco. Invece del suo solito approccio che consisteva nel memorizzare molte mosse concrete per cercare di ottenere un vantaggio, si concentrò sulle strutture dei pedoni e sui piani tipici. Il risultato fu un repertorio basato su un set-up con le mosse d4, Nf3, c4 ed e3. Questo repertorio ha aiutato Axel Smith a conquistare il titolo di GM e ha portato alla creazione di e3 Poison.
Questo repertorio può essere giocato con diversi ordini di mosse e Smith ne spiega i pro e i contro. Il lettore non dovrà memorizzare molte mosse, ma il lavoro duro è comunque essenziale per comprendere i temi, per cui vengono forniti molti esercizi per mettere alla prova il lettore. Smith dimostra che un repertorio pratico può essere anche un repertorio da gran maestro: tutto sta nel capire i temi e i piani posizionali.
Il maestro Axel Smith, svedese, è un giocatore e allenatore di successo. Utilizzando i suoi metodi su se stesso, nel giro di dieci anni è passato da un punteggio di 2093 a diventare un Grande Maestro. Il suo precedente libro per Quality Chess, Pump Up Your Rating, ha vinto il premio ChessCafe Book of the Year.
ISBN: 978-1-78483-037-3 - 392 pagine - Pubblicato il 2 agosto 2017
Recensioni
'Il fascino di questo libro è che è molto più di un manuale di apertura. Mi è piaciuto girare le pagine con una sensazione infantile di "quali meraviglie sto per scoprire".
All'interno si possono trovare aneddoti, citazioni, confronti, discussioni sulle strutture di pedine che potrebbero verificarsi e molto umorismo svedese".
GM Glenn Flear, Annuario New In Chess
"Il Veleno e3 del Gran Maestro svedese Axel Smith è uno dei libri di aperture più originali pubblicati in questo secolo. Il suo autore mira nientemeno che alla creazione di un intero repertorio di aperture basato sulla mossa e3. Il Bianco punta a un setup (Nf3, e3, Be2, d4, c4 e Nc3) che può raggiungere posizioni simili sia che si apra 1.c4, 1.d4, 1.Nf3 o 1.e3....
e3 Poison si rivelerà particolarmente utile per i giocatori da 2200 in su, in grado di gestire le numerose trasposizioni e le diverse strutture di pedoni del mediogioco che si presentano".
IM John Donaldson
"Nel complesso, il libro è un must per tutti gli scacchisti esperti che amano le aperture chiuse e vogliono ampliarne la comprensione. Per me è stato un grande piacere leggerlo e l'ho letto quasi tutto d'un fiato. Spero che il GM Smith scriva molti altri libri di scacchi così belli!".
IM Dirk Schuh, Rochade Europa
Aggiungi una confezione regalo, un’incisione – o entrambe – per renderlo davvero speciale!
Precisione tangibile
Ogni mossa rafforza curiosità, concentrazione e fiducia in sé stessi.















