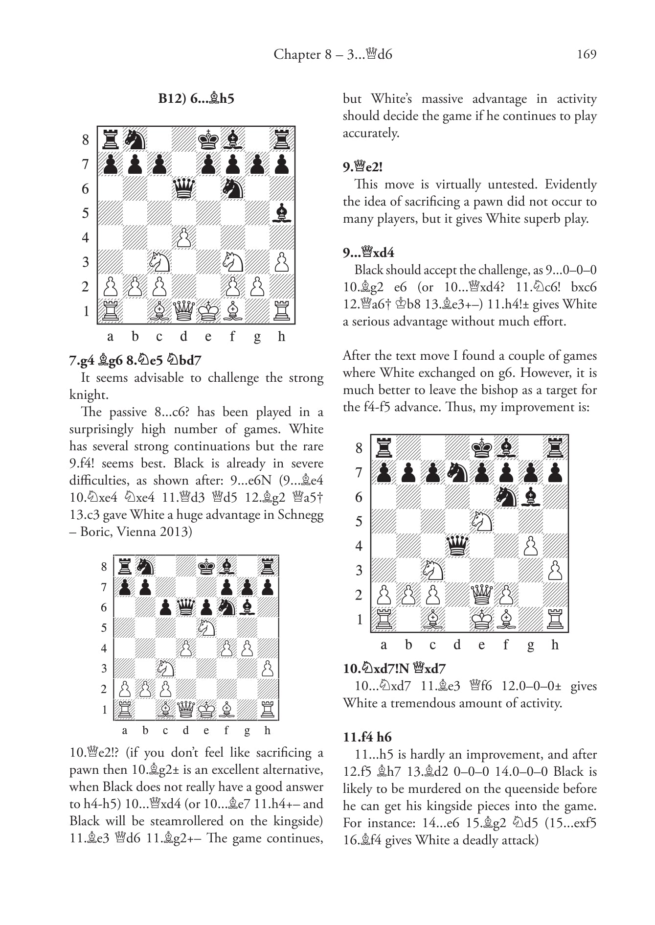
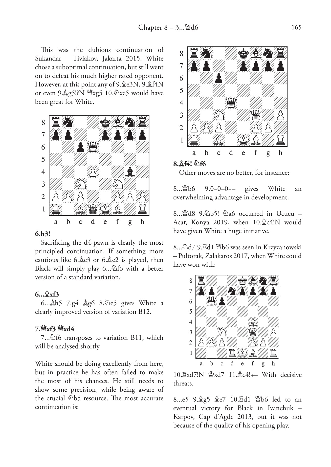
Grandmaster Repertoire - 1.e4 vs Minor Defences by Parimarjan Negi (hardcover)
Il quinto volume della serie Grandmaster Repertoire - 1.e4 offre un repertorio di altissimo livello contro le difese Alekhine, Scandinava, Pirc e Moderna, oltre a varie alternative fuori dagli schemi che il Nero può tentare. L'ultimo lavoro di Negi continua la formula vincente dei suoi libri precedenti: il repertorio 1.e4 è fondato su linee principali consolidate e potenziato con le idee innovative di un teorico di livello mondiale, che lo rendono un'aggiunta essenziale alla biblioteca di ogni giocatore ambizioso.
Parimarjan Negi è un ex bambino prodigio che è diventato Gran Maestro all'età di 13 anni. È stato Campione Asiatico nel 2012 e ha giocato al Board 1 nella squadra indiana che ha vinto la medaglia di bronzo alle Olimpiadi di Tromsø 2014.
432 pagine - Pubblicato il 30 settembre 2020
Libro in brossura ISBN: 978-1-78483-077-9
Copertina rigida ISBN: 978-1-78483-078-6
Recensioni dei volumi precedenti:
"I suoi libri sulla Siciliana sono assolutamente favolosi". GM Simen Agdestein, New in Chess
"È davvero ottimo! Mostra tutto ciò che serve per produrre una preparazione di livello mondiale.... Il libro di Negi è assolutamente stupefacente. La mia mascella continuava a cadere di fronte alle idee di attacco che Negi espone.... Ancora una volta si tratta di un'opera di altissima qualità". GM Matthew Sadler, New in Chess
"Quando recensisco un nuovo libro, lo recensisco con durezza, e vado alla ricerca di buchi. Questo rende difficile per qualsiasi autore soddisfare le mie alte aspettative, ma Negi continua a impressionarmi.... Un altro libro di Negi, altre cinque stelle". GM David Smurdon
Aggiungi una confezione regalo, un’incisione – o entrambe – per renderlo davvero speciale!


Precisione tangibile
Ogni mossa rafforza curiosità, concentrazione e fiducia in sé stessi.