Grandmaster Repertoire - 1.e4 vs The Sicilian III by Parimarjan Negi (softcover)
Il quarto volume della serie Grandmaster Repertoire - 1.e4 offre un repertorio di altissimo livello contro i sistemi Taimanov, Kan e Scheveningen, oltre a tutte le altre linee siciliane non trattate nei volumi precedenti. Negi riprende le linee principali consolidate e le arricchisce con le sue idee innovative, rendendo il repertorio un incubo per i giocatori siciliani e un'aggiunta essenziale alla biblioteca di ogni giocatore ambizioso.
Parimarjan Negi è un ex bambino prodigio e il secondo giocatore più giovane di tutti i tempi a ottenere il titolo di Grande Maestro. È stato campione asiatico nel 2012 e ha giocato nel tabellone 1 della squadra indiana che ha vinto la medaglia di bronzo alle Olimpiadi di Tromsø 2014.
ISBN 978-1-78483-023-6 - 488 pagine - Pubblicato il 31 agosto 2016.
Recensioni dei volumi precedenti:
"I suoi libri sulla Siciliana sono assolutamente favolosi".
GM Simen Agdestein, New in Chess
"È davvero ottimo! Mostra tutto ciò che serve per produrre una preparazione di livello mondiale.... Il libro di Negi è assolutamente stupefacente. La mia mascella continuava a cadere di fronte alle idee di attacco che Negi espone.... Ancora una volta si tratta di un'opera di altissima qualità".
GM Matthew Sadler, New in Chess
"Quando recensisco un nuovo libro, lo recensisco con durezza, e vado alla ricerca di buchi. Questo rende difficile per qualsiasi autore soddisfare le mie alte aspettative, ma Negi continua a impressionarmi.... Un altro libro di Negi, altre cinque stelle".
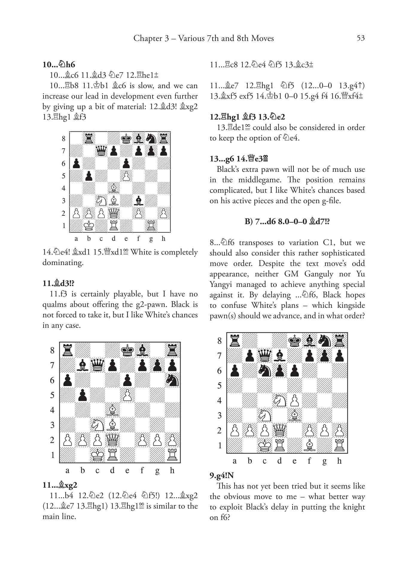
GM David Smurdon
Aggiungi una confezione regalo, un’incisione – o entrambe – per renderlo davvero speciale!
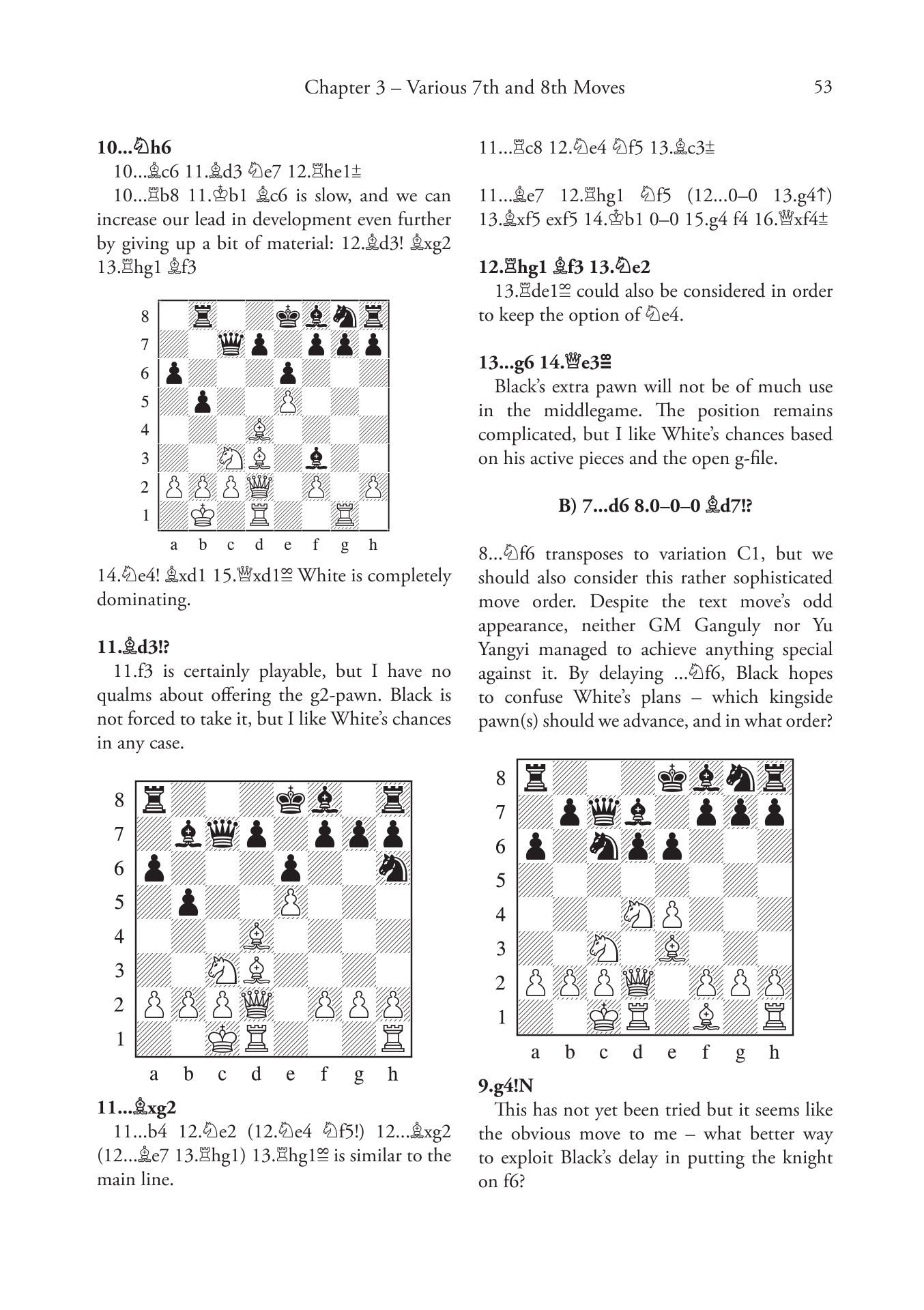
Precisione tangibile
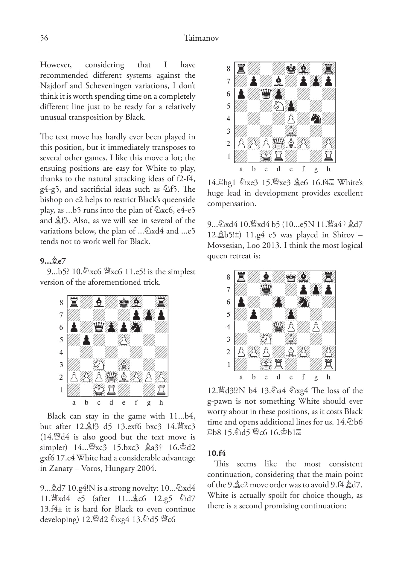
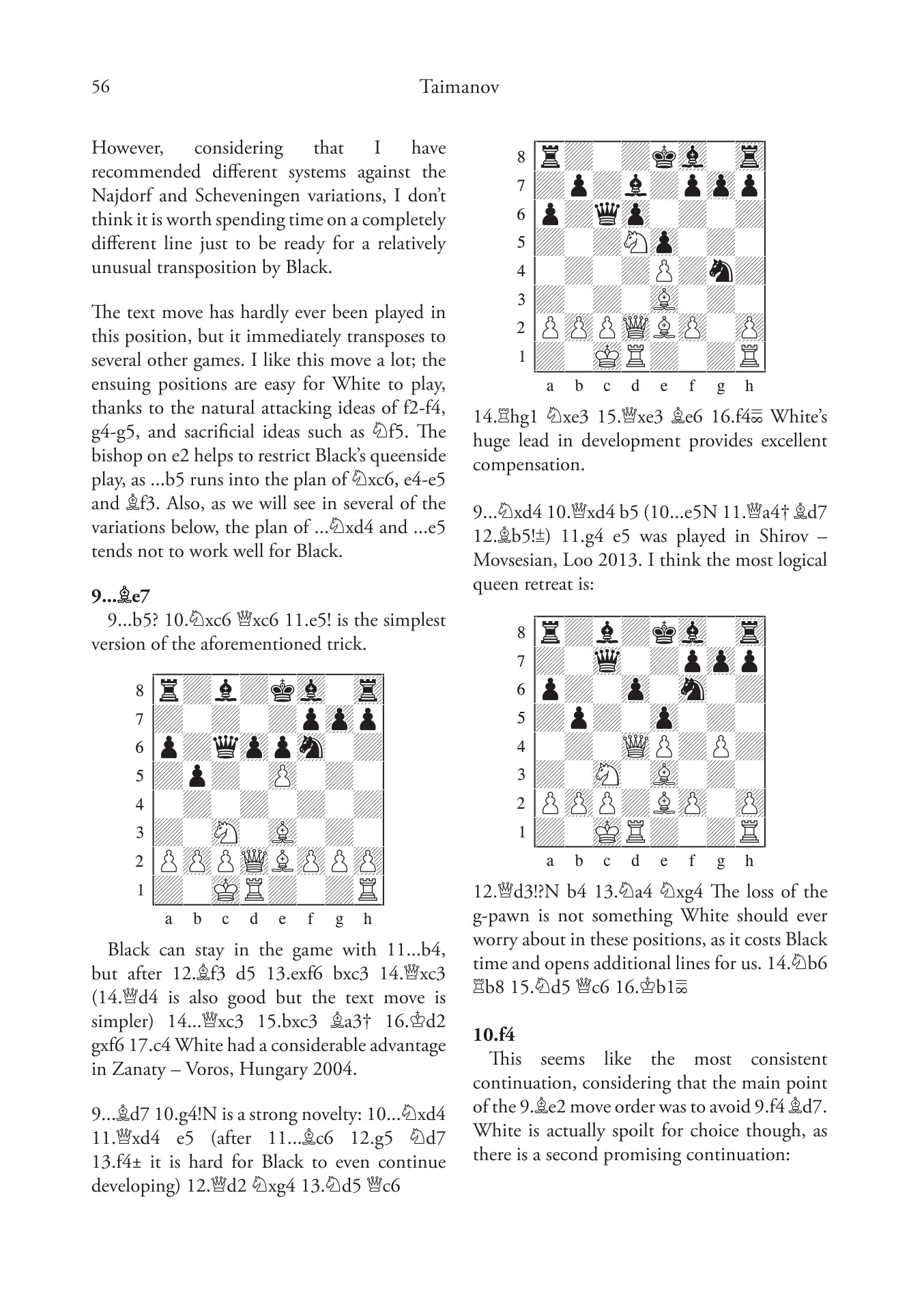
Ogni mossa rafforza curiosità, concentrazione e fiducia in sé stessi.











