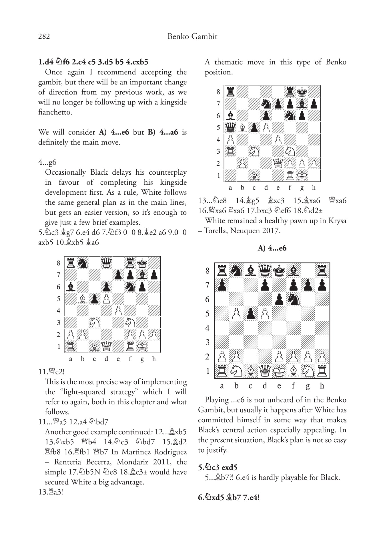
Grandmaster Repertoire 2B - 1.d4 Dynamic Systems: Tired of Bad Positions? Try the Main Lines! (softcover)
Inglese, diagrammi scacchistici.
Quando Boris Avrukh ha pubblicato i suoi libri di repertorio 1.d4 nel 2008 e nel 2010, hanno fatto scalpore. Il GM Michael Adams ha osservato che "la serie Grandmaster Repertoire di alta qualità ha portato questo formato a un livello completamente diverso". La nuova serie 1.d4 di Avrukh ha alzato ulteriormente il livello.
Ilvolume 2B completa la serie fornendo antidoti all'avanguardia a difese insidiose come l'Olandese, vari set-up Benoni, i Gambit Benko e Budapest e tutto ciò che non è stato trattato nei volumi 1A, 1B e 2A. Con innumerevoli aggiornamenti e miglioramenti rispetto al precedente lavoro dell'autore, questo libro è una lettura essenziale per qualsiasi giocatore ambizioso di 1.d4.
Boris Avrukh è un grande maestro israeliano. È medaglia d'oro alle Olimpiadi, ex campione del mondo juniores e partner di analisi di finalisti del campionato del mondo.
592 pagine - Pubblicato il 3 aprile 2019
Libro in brossura ISBN: 978-1-78483-046-5
Copertina rigida ISBN: 978-1-78483-047-2
Recensione del precedente lavoro dell'autore:
"Un punto di riferimento per i futuri autori da seguire, questo libro rappresenta niente di meno che un progresso tecnologico nella teoria delle aperture scacchistiche".
GM Glenn Flear, New in Chess
Aggiungi una confezione regalo, un’incisione – o entrambe – per renderlo davvero speciale!
Precisione tangibile
Ogni mossa rafforza curiosità, concentrazione e fiducia in sé stessi.
















