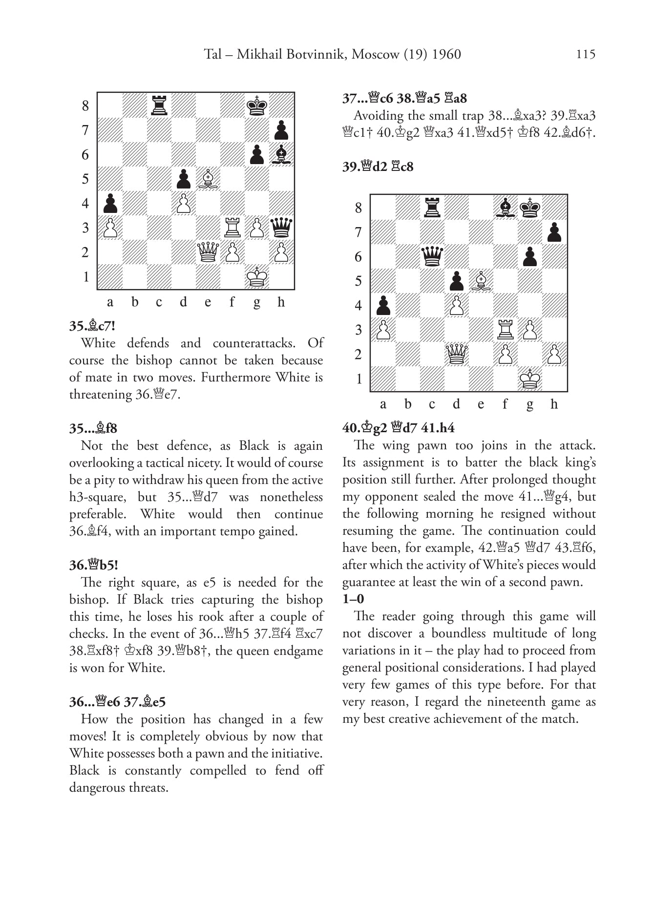
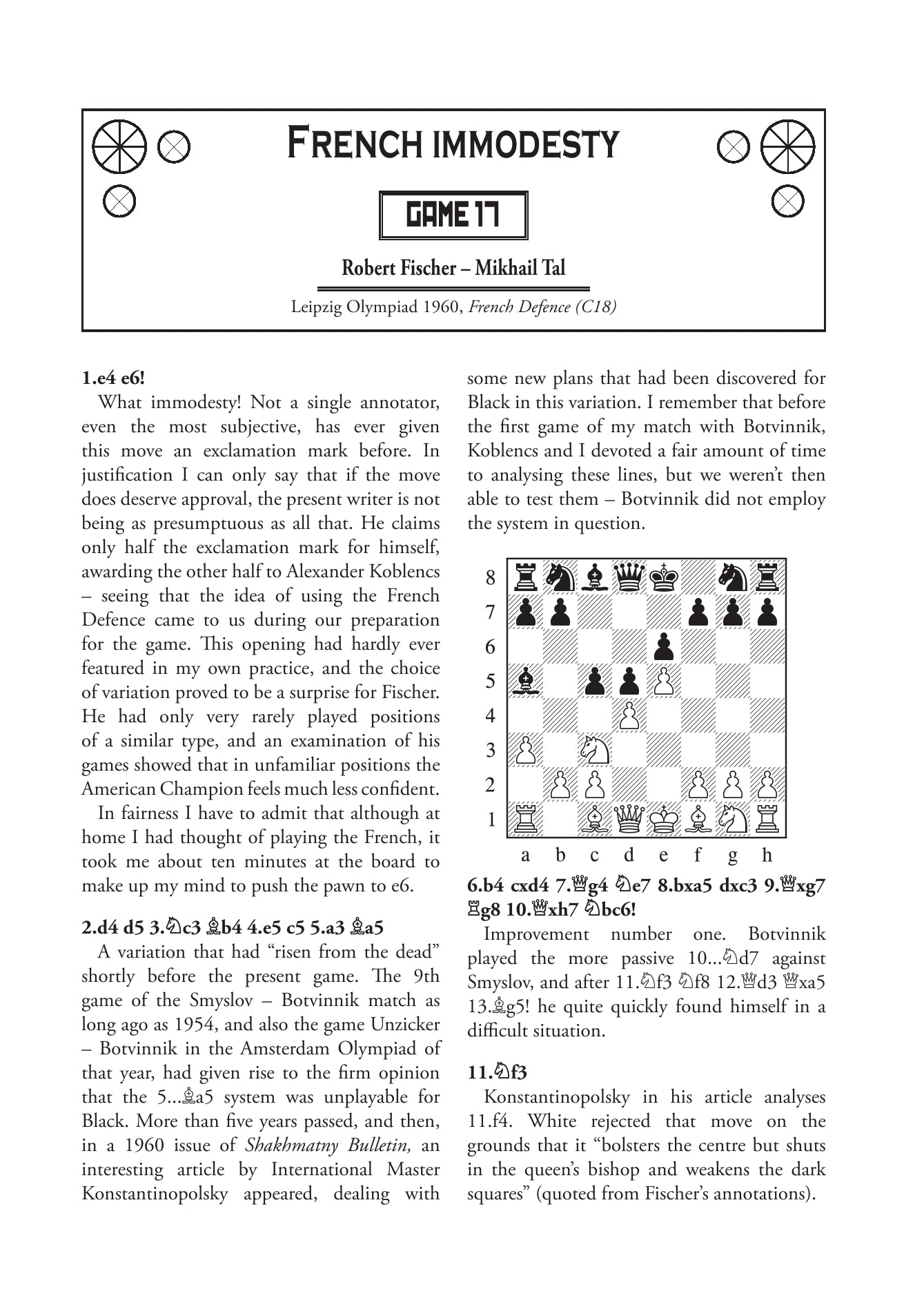
The Chess Alchemist PB
Scopri il mondo straordinario degli scacchi con "The Chess Alchemist". Questo libro in brossura è la guida perfetta per gli appassionati di scacchi, indipendentemente dal loro livello di esperienza. L'autore combina teoria e pratica, offrendo un approccio innovativo alla strategia di gioco. Grazie a spiegazioni chiare ed esercizi pratici, i lettori hanno la possibilità di sviluppare le proprie abilità e comprendere i segreti di questo nobile gioco. "The Chess Alchemist" non è solo una lettura, ma anche una fonte di ispirazione per ogni appassionato di scacchi. Arricchite la vostra collezione e migliorate le vostre abilità con questo libro straordinario.
Aggiungi una confezione regalo, un’incisione – o entrambe – per renderlo davvero speciale!
Precisione tangibile
Ogni mossa rafforza curiosità, concentrazione e fiducia in sé stessi.
















