BUILD UP YOUR CHESS WITH ARTUR YUSUPOV-VOL.3 2025
Il famoso gran maestro Artur Yusupov continua il suo corso di perfezionamento scacchistico "Build up Your Chess".
- Il volume 1, The Fundamentals, ha illustrato ai giocatori di club le nozioni fondamentali che dovrebbero conoscere;
- Volume 2, Beyond the Basics, ha intrapreso il percorso verso la maestria, e ora in
- Volume 3, Mastery, arriviamo alla nostra destinazione finale.
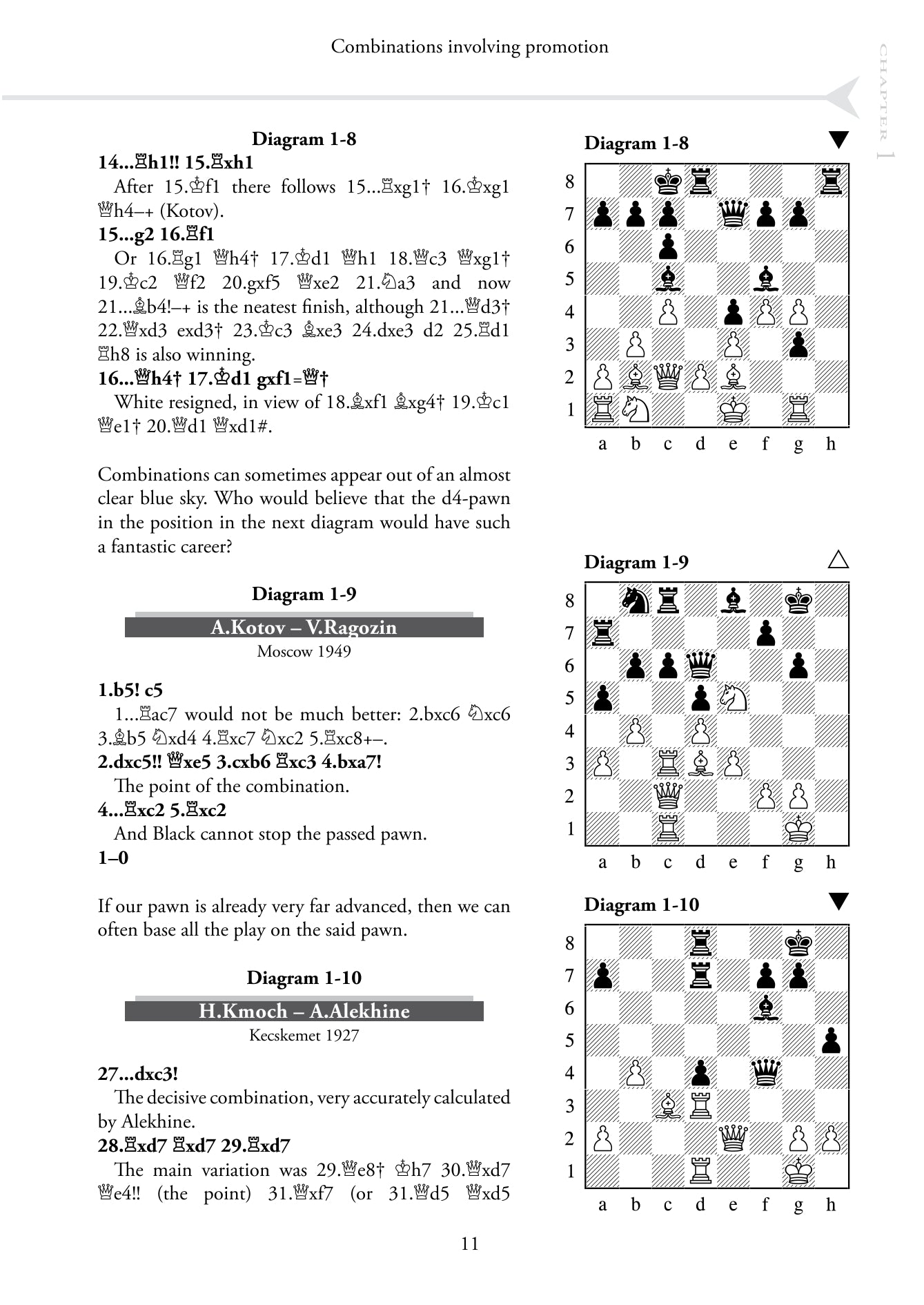
Yusupov guida il lettore utilizzando posizioni e consigli accuratamente selezionati. Questa nuova comprensione viene poi messa alla prova con una serie di enigmi.
Segui questo link per informazioni più dettagliate sul pluripremiato corso di formazione di Yusupov.
Artur Yusupov è stato classificato al terzo posto nella classifica mondiale dal 1986 al 1992, subito dietro ai leggendari Karpov e Kasparov. Ha vinto tutto ciò che c'era da vincere negli scacchi, tranne il Campionato del Mondo. Negli ultimi anni ha lavorato principalmente come allenatore di scacchi con giocatori che vanno dall'attuale campione del mondo Anand ai dilettanti locali in Germania, dove risiede.
ISBN: 978-1-906552-69-5 - 304 pagine - Pubblicato il 15 luglio 2009
Recensione
"Ogni capitolo inizia con l'introduzione di un tema seguito da esempi progressivamente più difficili e infine da esercizi da risolvere con soluzioni dettagliate. Un approccio simile è già stato visto in passato, ma mai così ben realizzato. Ci si potrebbe chiedere perché sia necessario che un giocatore di così alto livello scriva un libro per giocatori meno esperti. La risposta è che Yusupov offre la rara combinazione di una straordinaria conoscenza degli scacchi e la capacità e il desiderio di condividerla. Questo libro sarà utile non solo agli aspiranti maestri, ma soprattutto a coloro che li allenano... Altamente raccomandato" Jeremysilman.comAggiungi una confezione regalo, un’incisione – o entrambe – per renderlo davvero speciale!


Precisione tangibile
Ogni mossa rafforza curiosità, concentrazione e fiducia in sé stessi.