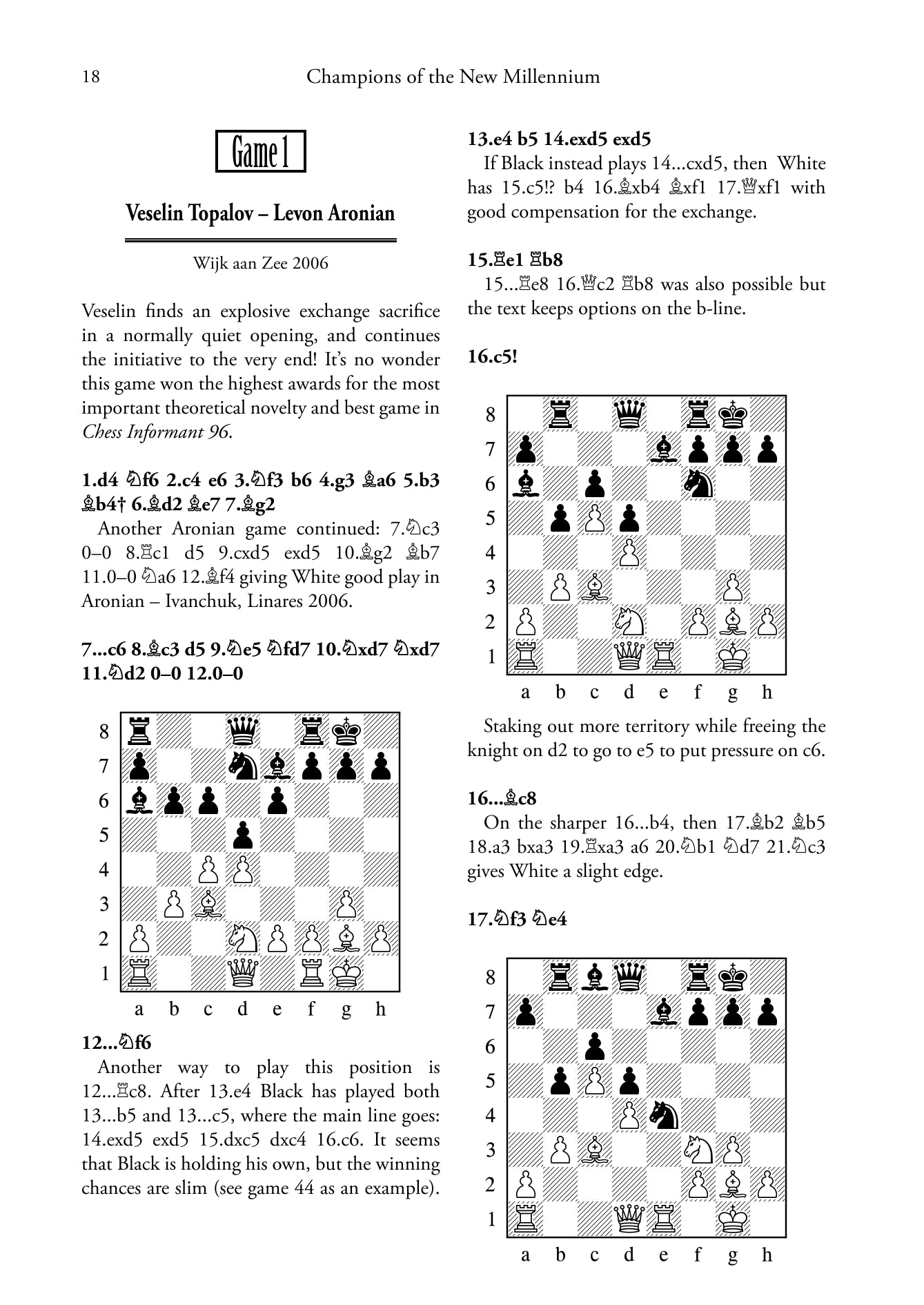
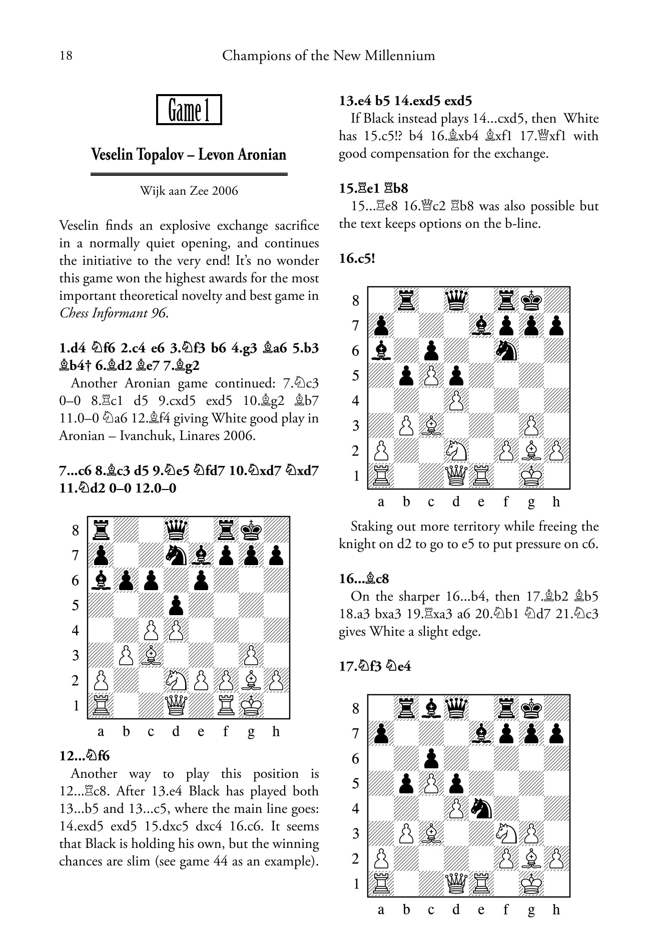
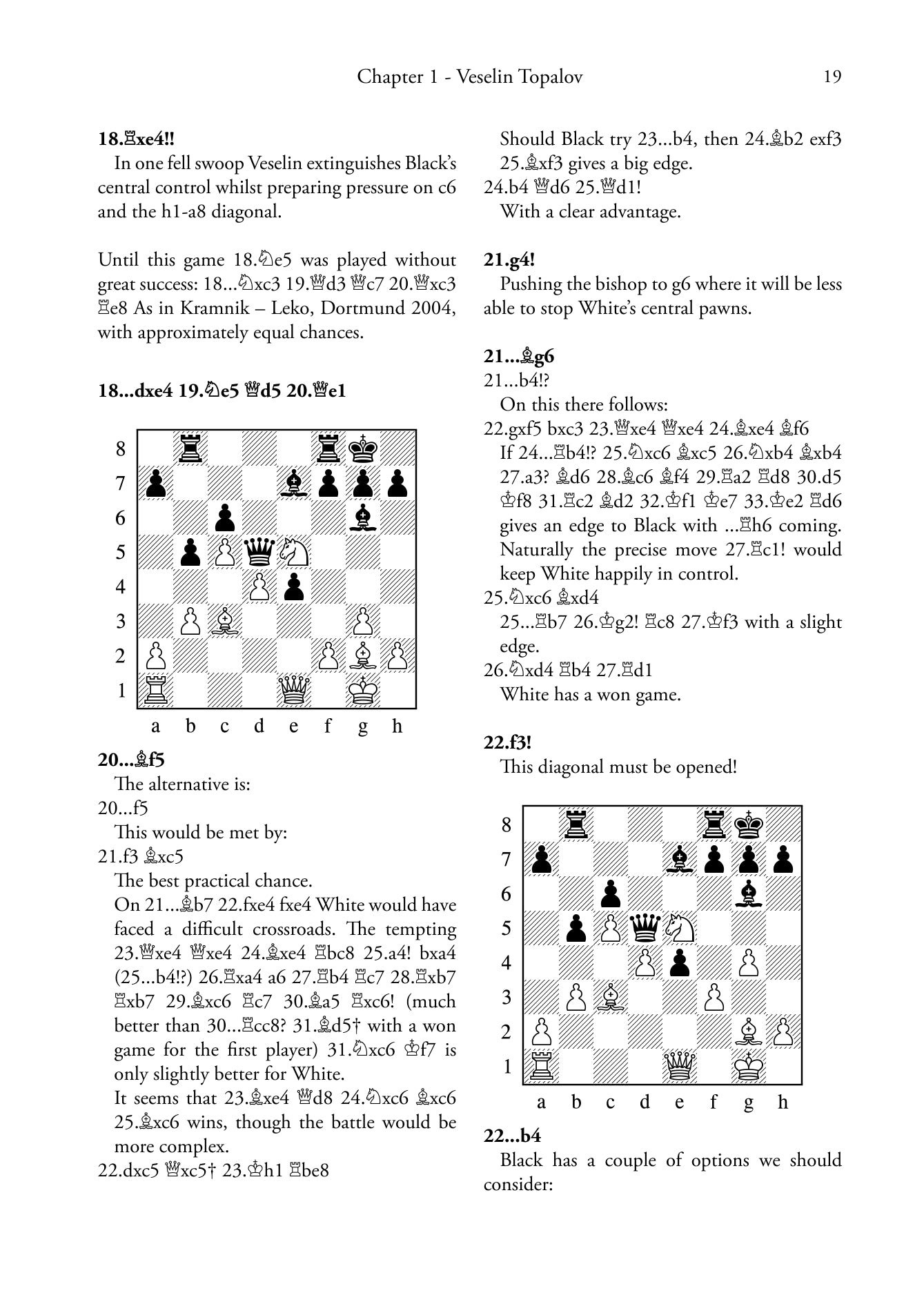
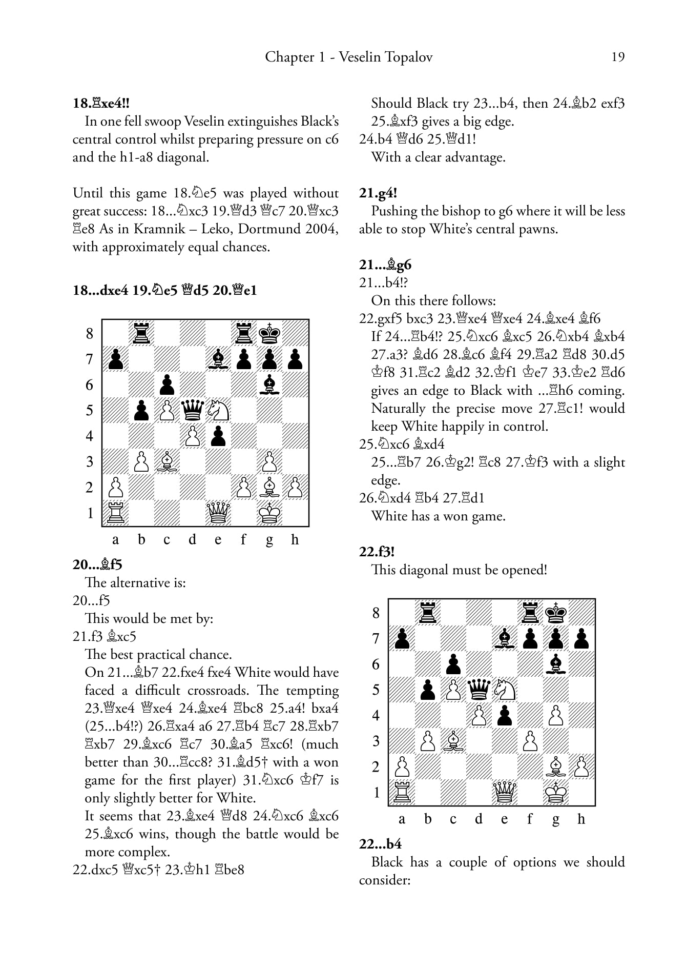
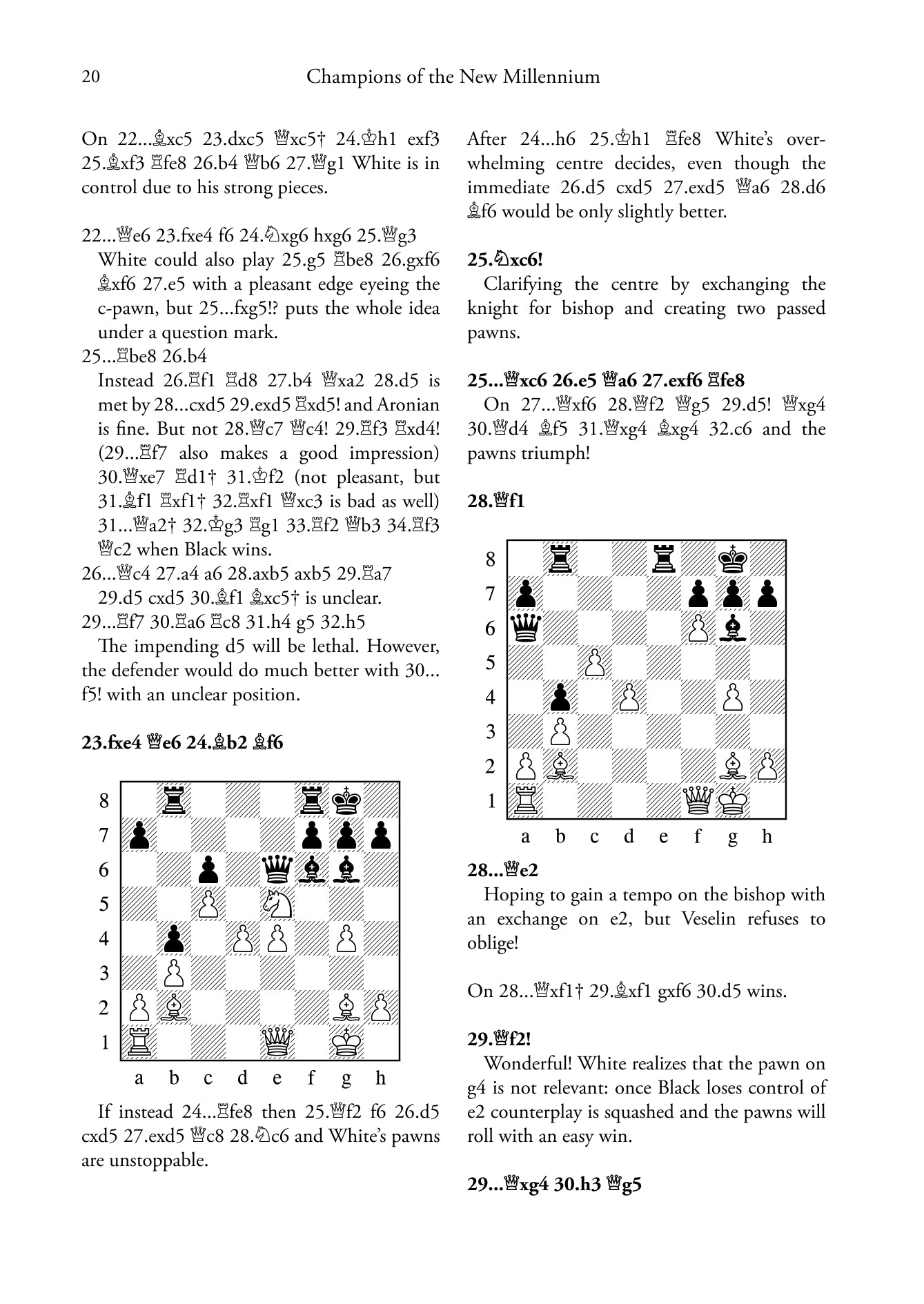
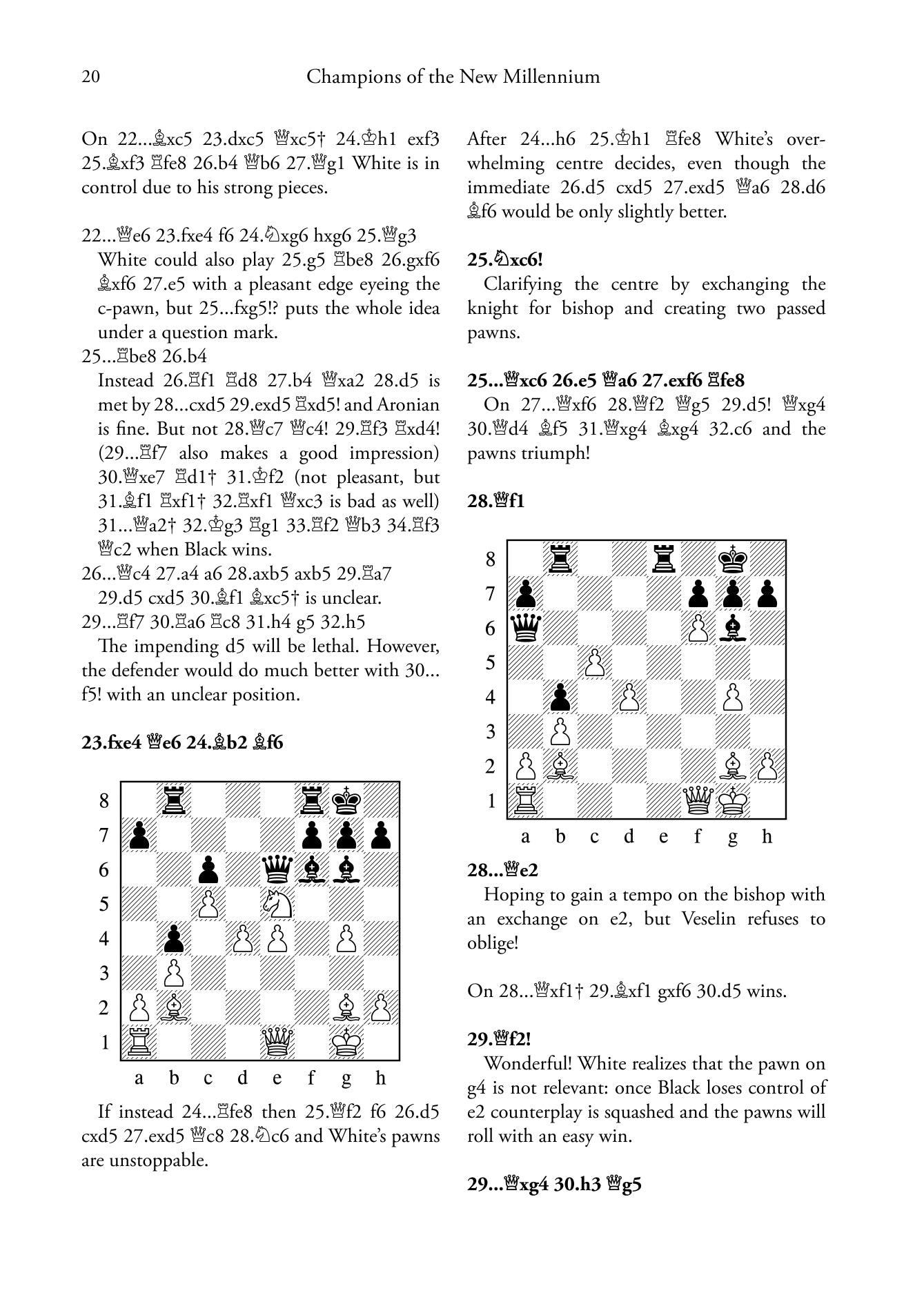
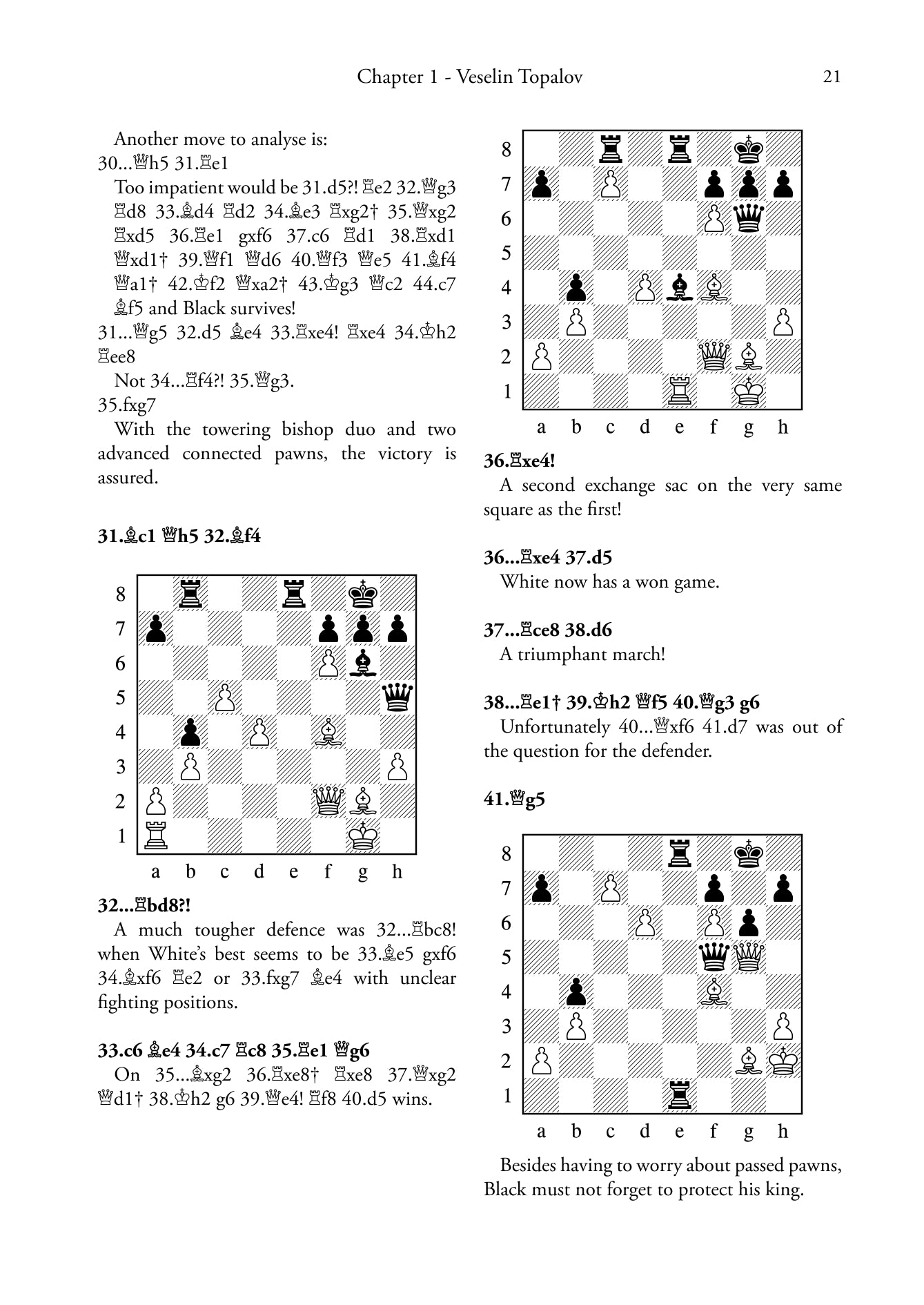
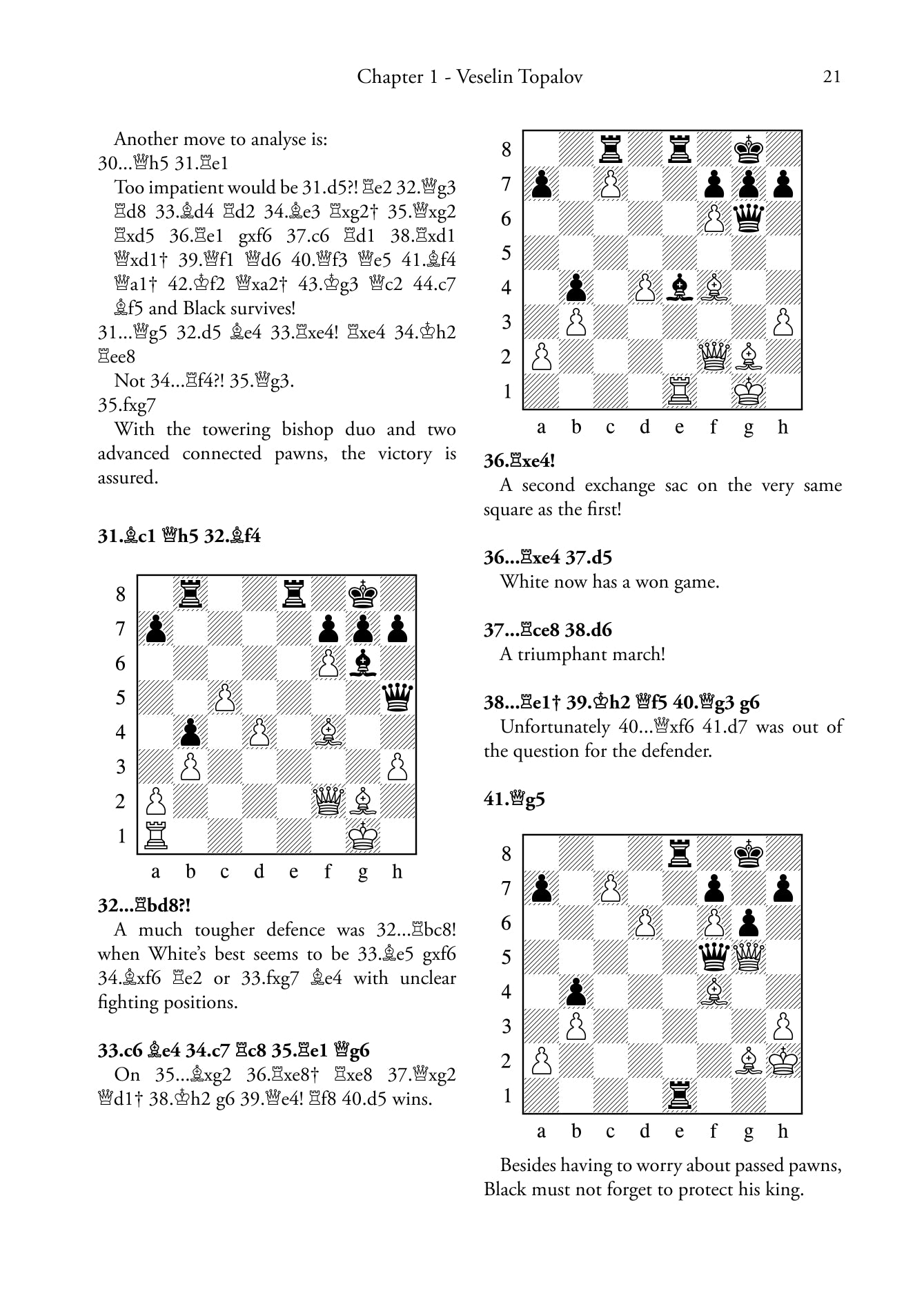
Champions of the New Millennium - Ftacnik, Kopec and Browne (softcover)
In questa collaborazione tra tre autori di grande esperienza, i diciotto migliori scacchisti del mondo del XXI secolo sono presentati al lettore con quattro partite profondamente commentate e un ritratto illuminante. Questi giocatori sono: Anand, Kramnik, Topalov, Morozevich, Svidler, Mamedyarov, Shirov, Leko, Ivanchuk, Aronian (la top 10 del gennaio 2008), le stelle che probabilmente domineranno nel prossimo decennio, Karjakin, Carlsen, Radjabov, Wang Yue, Ponomariov e Grischuk, la migliore giocatrice di sempre, Judith Polgar, nonché il finalista del Campionato del Mondo e ragazzo in rimonta, la star americana Gata Kamsky.
Lubomir Ftacnik è un Grande Maestro slovacco e famoso autore di scacchi.
Danny Kopec è un Maestro Internazionale americano e autore di numerosi ed eccellenti libri sugli scacchi.
Walter Browne è un Grande Maestro americano con molti anni di carriera ai vertici assoluti.
ISBN: 9781906552022 - 456 pagine - Pubblicato il 9 settembre 2009
Recensioni
"Questo corposo volume, descritto nel sommario come 'la guida ideale a chi è chi negli scacchi moderni', è proprio questo: i diciotto migliori giocatori di scacchi del mondo, divisi tra le star affermate e i giocatori che probabilmente domineranno nel prossimo decennio, con Judit Polgar e Gata Kamsky a completare il numero. Ogni giocatore ha un capitolo che ne delinea la storia, un'analisi del suo stile di gioco e quattro delle sue migliori partite profondamente commentate. Gli esperti autori si sono divisi il lavoro. Splendidamente prodotto con (come spesso accade con Quality Chess) numerose fotografie eccezionali, questo volume è un'ottima introduzione ai principali giocatori del nostro tempo."
Ray Edwards, Julian Farrand, David Friedgood, giudici dell'ECF quando hanno scelto Champions of the New Millennium come libro dell'anno.
"Le annotazioni sono intelligenti e le spiegazioni superbe. Non importa quale sia la vostra posizione nella gerarchia scacchistica, in questo libro c'è qualcosa per voi. I giocatori avanzati apprezzeranno l'analisi approfondita, mentre i giocatori di club comprenderanno il perché di certe decisioni in particolari posizioni; inoltre, i numerosi diagrammi aiutano la visualizzazione.
Con splendide fotografie a colori, un'analisi approfondita, numerosi commenti verbali e un'abbondanza di diagrammi, Champions of the New Millennium è un libro che potrete conservare per tutta la vita. C'è così tanto da imparare da questo libro che si può trarre qualcosa di nuovo a ogni lettura".
Mark Donlan e Norman Kingoff, ChessCafe (recensione completa)
"un grande libro ... un buffet self-service dove si possono gustare diversi tipi di scacchi esemplari.... ricco di partite scintillanti e di belle fotografie".
GM Jonathan Rowson, New in Chess
"Un'antologia impressionante... Un'antologia di 18 giocatori splendidamente realizzata.... Fotografie eccezionali arricchiscono il contenuto... una grande raccolta di 72 partite... un libro eccezionale, una bella galleria di grandi giocatori".
GM Lubomir Kavalek, The Washington Post (recensione completa)
"Campioni del nuovo millennio è il raro libro di scacchi che può essere letto sia per piacere che per istruzione.... un libro bellissimo... oltre 100 bellissime foto a colori... ha un prezzo molto interessante di 29,95 dollari e sarebbe un ottimo regalo di Natale. Altamente raccomandato".
IM John Donaldson
"450 pagine di materiale divertente... La selezione dei giochi e le note di accompagnamento offrono una notevole saggezza distillata. Il libro è accompagnato da decine di fotografie a colori di tutti i giocatori. Abbiamo bisogno di libri di questo tipo per ispirare soprattutto i giovani giocatori e dare loro dei modelli di riferimento per gli scacchi. Scegliete due o tre giocatori, studiate le loro quattro partite e poi iniziate a seguire il loro gioco in torneo. Imparerete un paio di cose".
Cecil Rosner, Winnipeg Free Press
"Il nome Quality Chess crea ovviamente degli obblighi. Campioni del Nuovo Millennio, proprio come il libro sul torneo di San Luis, è all'altezza del nome. Per tutti coloro che amano imparare dalle partite dei moderni grandi maestri o che vogliono semplicemente divertirsi, questo è il libro che fa per voi, con 72 partite brillanti."
Bab Wilders, Nederlands Dagblad
Aggiungi una confezione regalo, un’incisione – o entrambe – per renderlo davvero speciale!
Precisione tangibile
Ogni mossa rafforza curiosità, concentrazione e fiducia in sé stessi.










