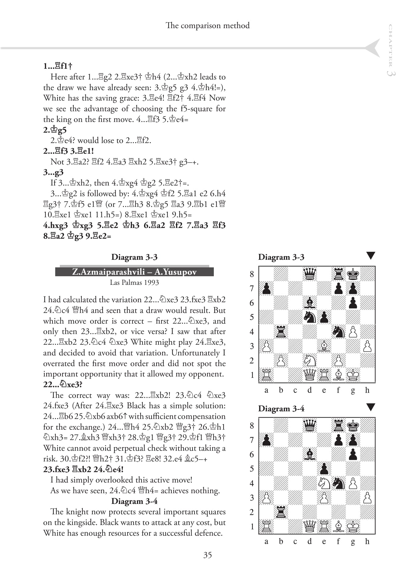
Chess Evolution 3 - Mastery by Artur Yusupov (hardcover)
Chess Evolution 3 completa il corso di perfezionamento scacchistico di Artur Yusupov. La serie Fundamentals ha mostrato ai giocatori le idee di base che dovrebbero conoscere. La serie Oltre le basi ha intrapreso la strada della maestria e ora, con la serie Maestria, siamo arrivati alla meta finale. Yusupov guida il lettore utilizzando posizioni e consigli accuratamente selezionati. Questa nuova comprensione viene poi messa alla prova da una serie di rompicapo.
Seguite questo link per avere informazioni più dettagliate sul pluripremiato corso di formazione di Yusupov.
Artur Yusupov è stato il numero 3 al mondo dal 1986 al 1992, subito dopo le leggende Karpov e Kasparov. Ha vinto tutto quello che c'è da vincere negli scacchi, tranne il Campionato del Mondo. Negli ultimi anni ha lavorato principalmente come allenatore di scacchi con giocatori che vanno dall'attuale campione del mondo Anand ai dilettanti locali in Germania, dove risiede.
ISBN: 978-1-906552-66-4 - 320 pagine - Pubblicato il 31 gennaio 2013
Aggiungi una confezione regalo, un’incisione – o entrambe – per renderlo davvero speciale!


Precisione tangibile
Ogni mossa rafforza curiosità, concentrazione e fiducia in sé stessi.