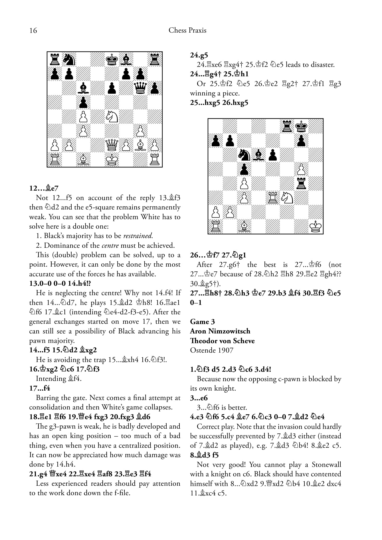
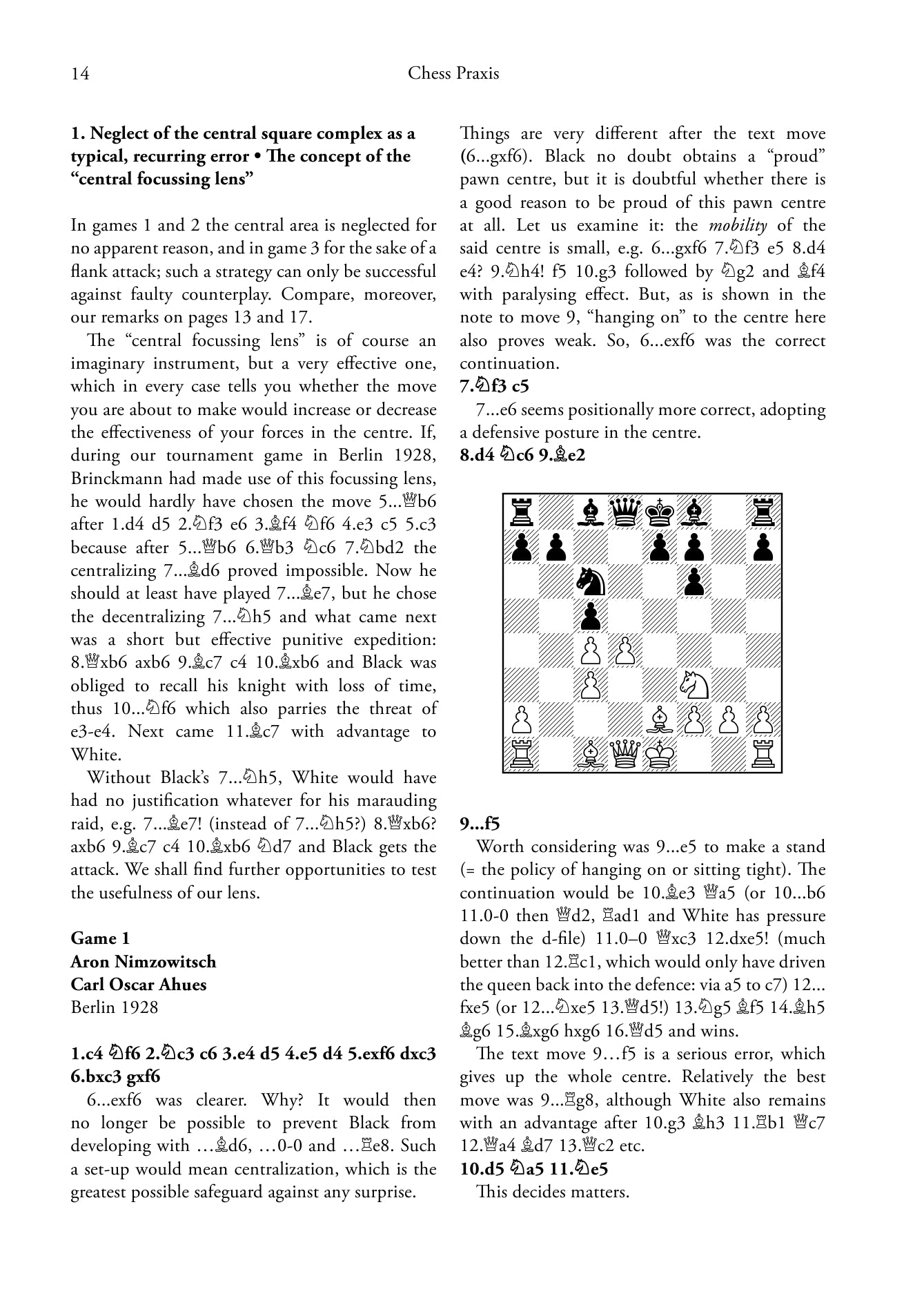
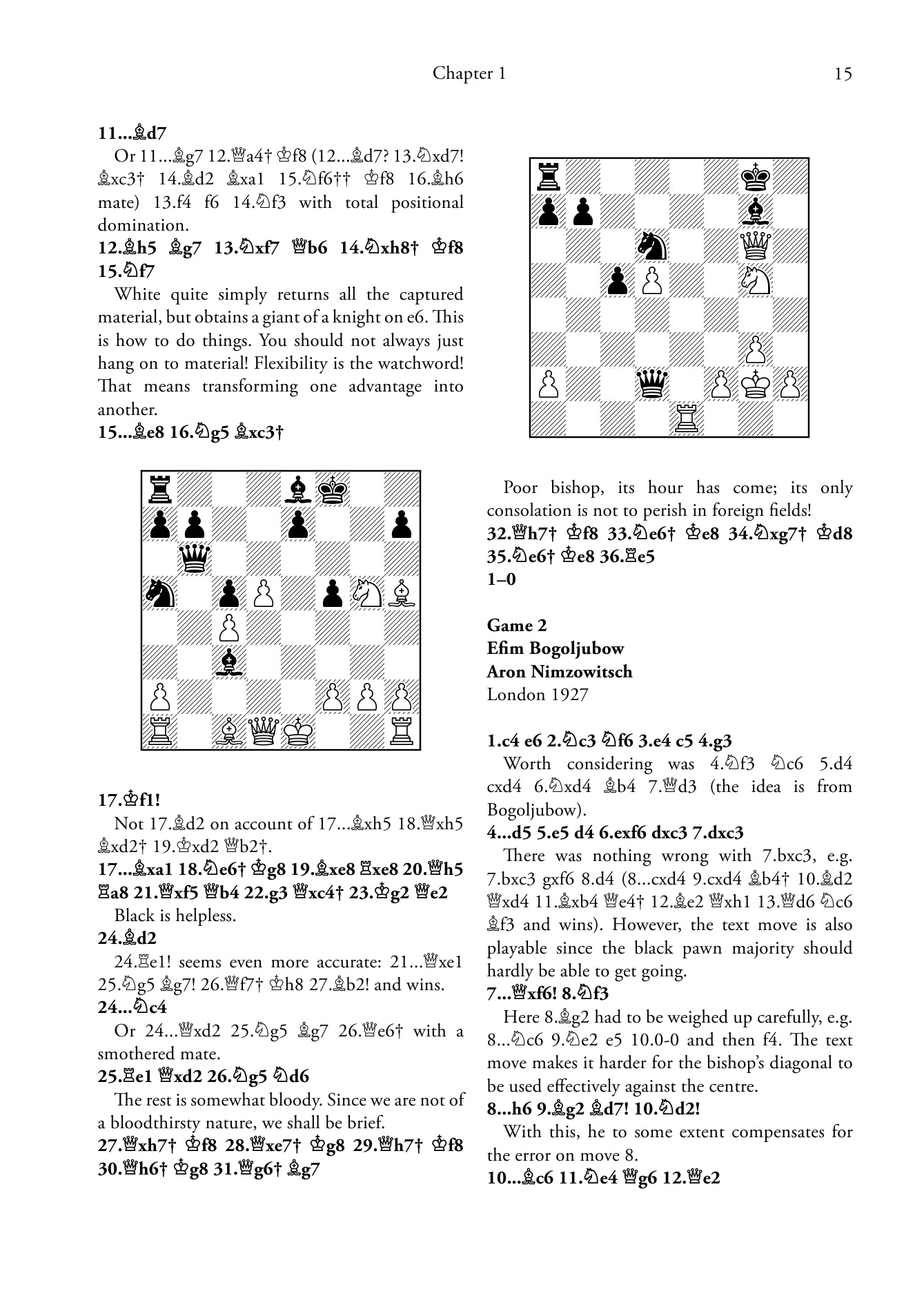
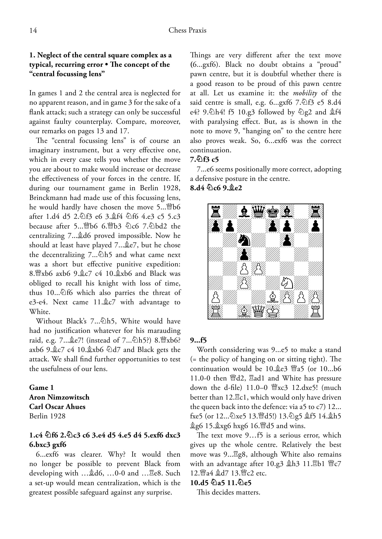
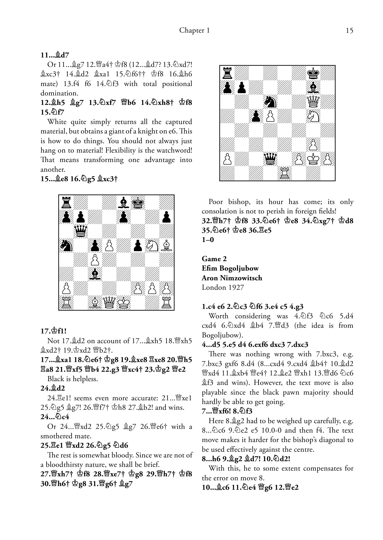
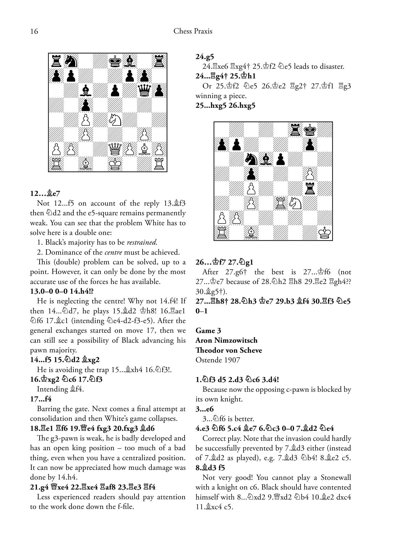
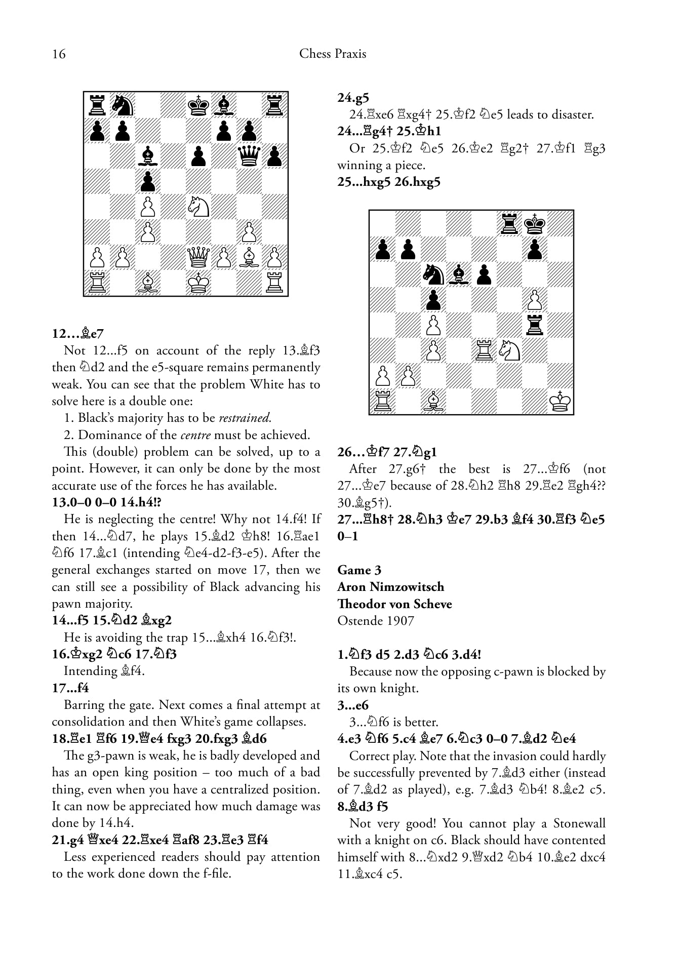
Chess Praxis by Aron Nimzowitsch (softcover)
Chess Praxis è una superba raccolta delle migliori partite di Aron Nimzowitsch annotate dal grande uomo stesso, ma è anche qualcosa di più. Nimzowitsch e le sue idee ipermoderne hanno avuto un'enorme influenza sul pensiero scacchistico moderno. Nimzowitsch espose per la prima volta le sue idee in Il mio sistema. Nel suo seguito, Chess Praxis, ha dimostrato e spiegato il funzionamento dei suoi concetti nelle sue partite.
Questa è una traduzione completamente nuova dell'opera classica di Nimzowitsch, che permetterà al lettore di apprezzare idee influenti spiegate con un linguaggio moderno.
Aron Nimzowitsch è stato uno dei più grandi scacchisti degli anni Venti e Trenta, subito dopo i famosi campioni del mondo Alekhine e Capablanca. La sua reputazione come autore è ancora più alta.
ISBN: 978-9185779000 - 224 pagine - 15 luglio 2007
Recensioni
"Una nuova traduzione di Die Praxis Meines System è da accogliere con favore.... Un poscritto di Jacob Aagaard e John Shaw arricchisce questa versione definitiva".
Bernard Cafferty, British Chess Magazine (recensione completa)
Aggiungi una confezione regalo, un’incisione – o entrambe – per renderlo davvero speciale!


Precisione tangibile
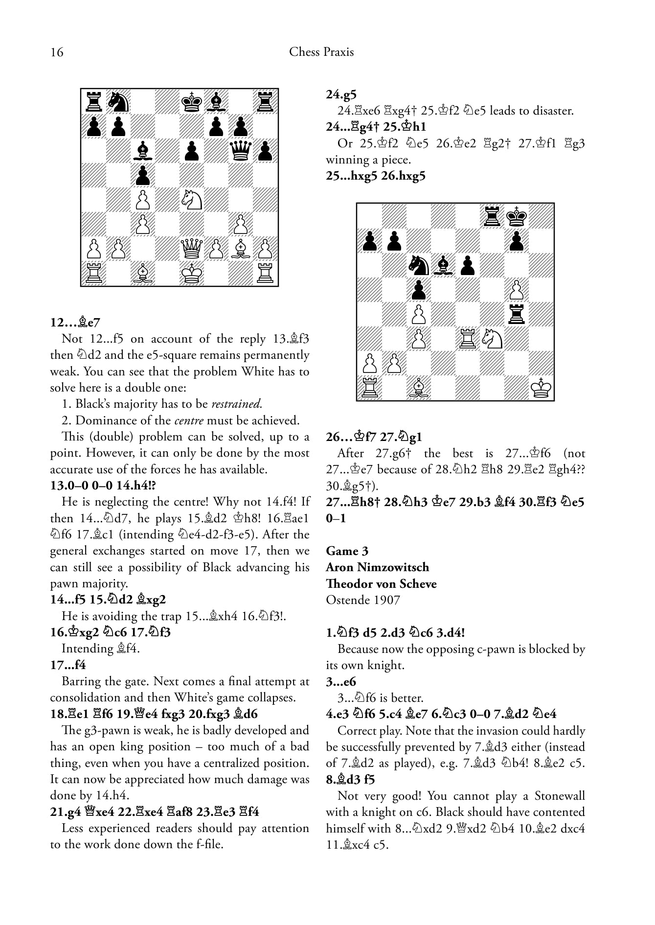
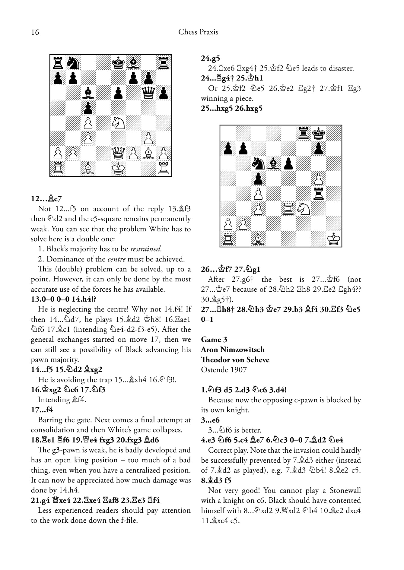
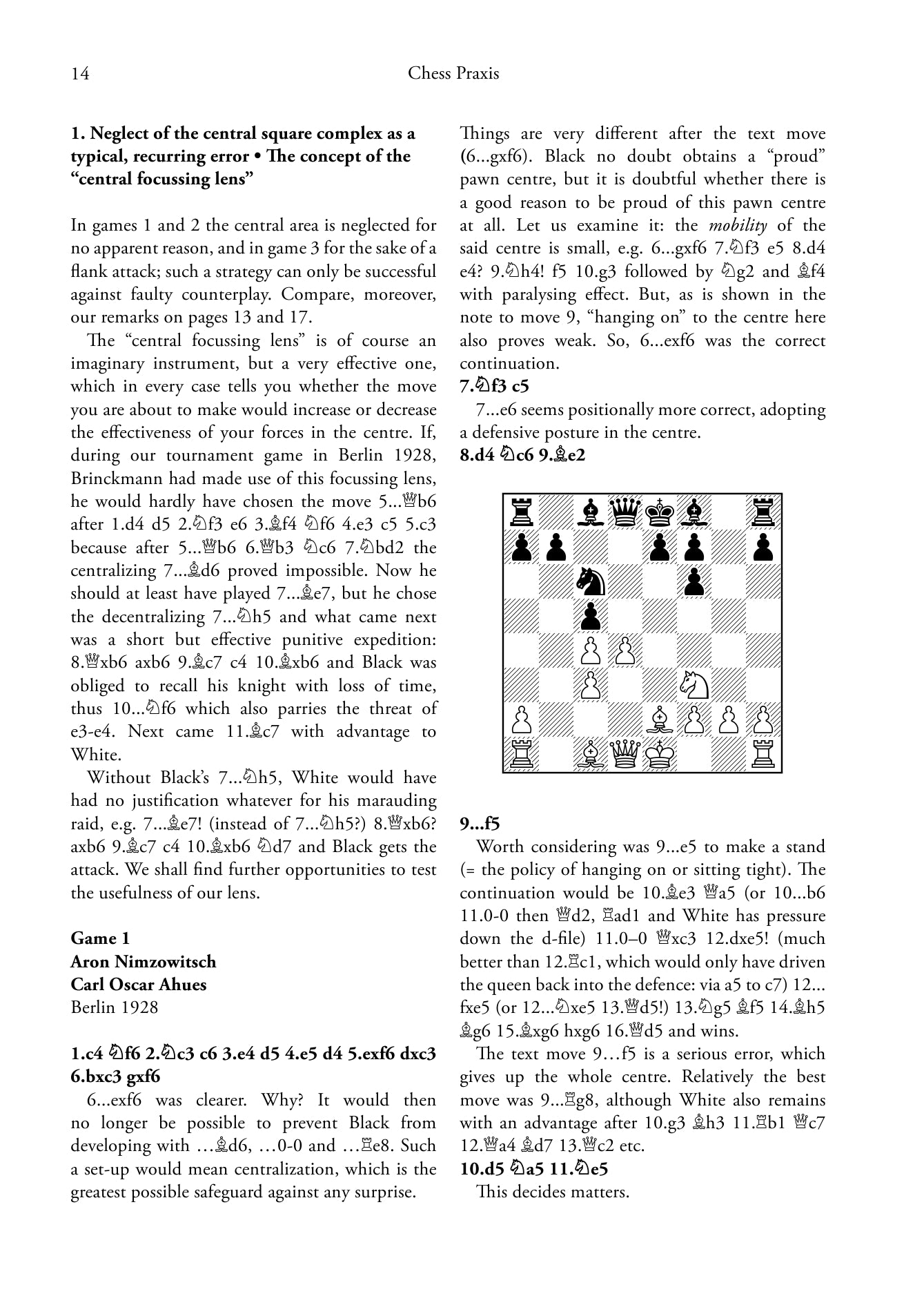
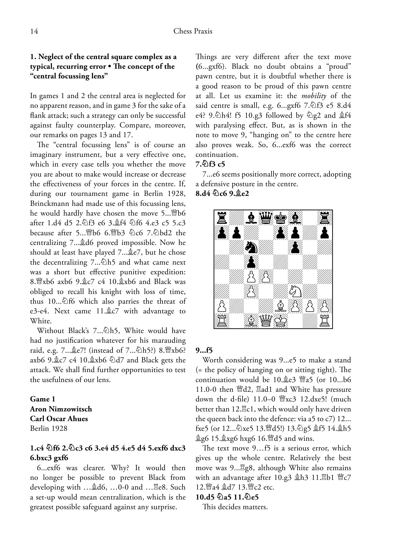
Ogni mossa rafforza curiosità, concentrazione e fiducia in sé stessi.