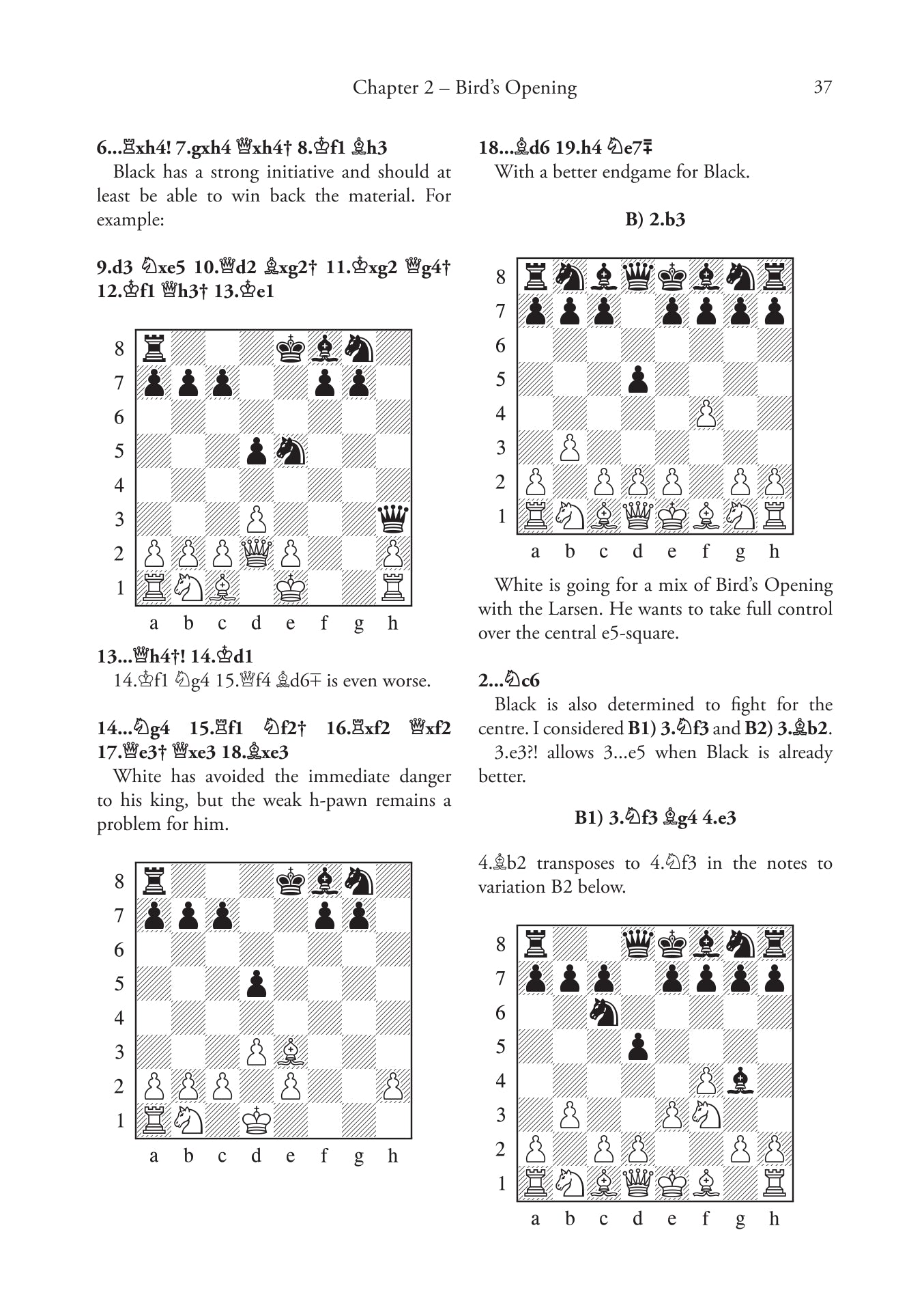
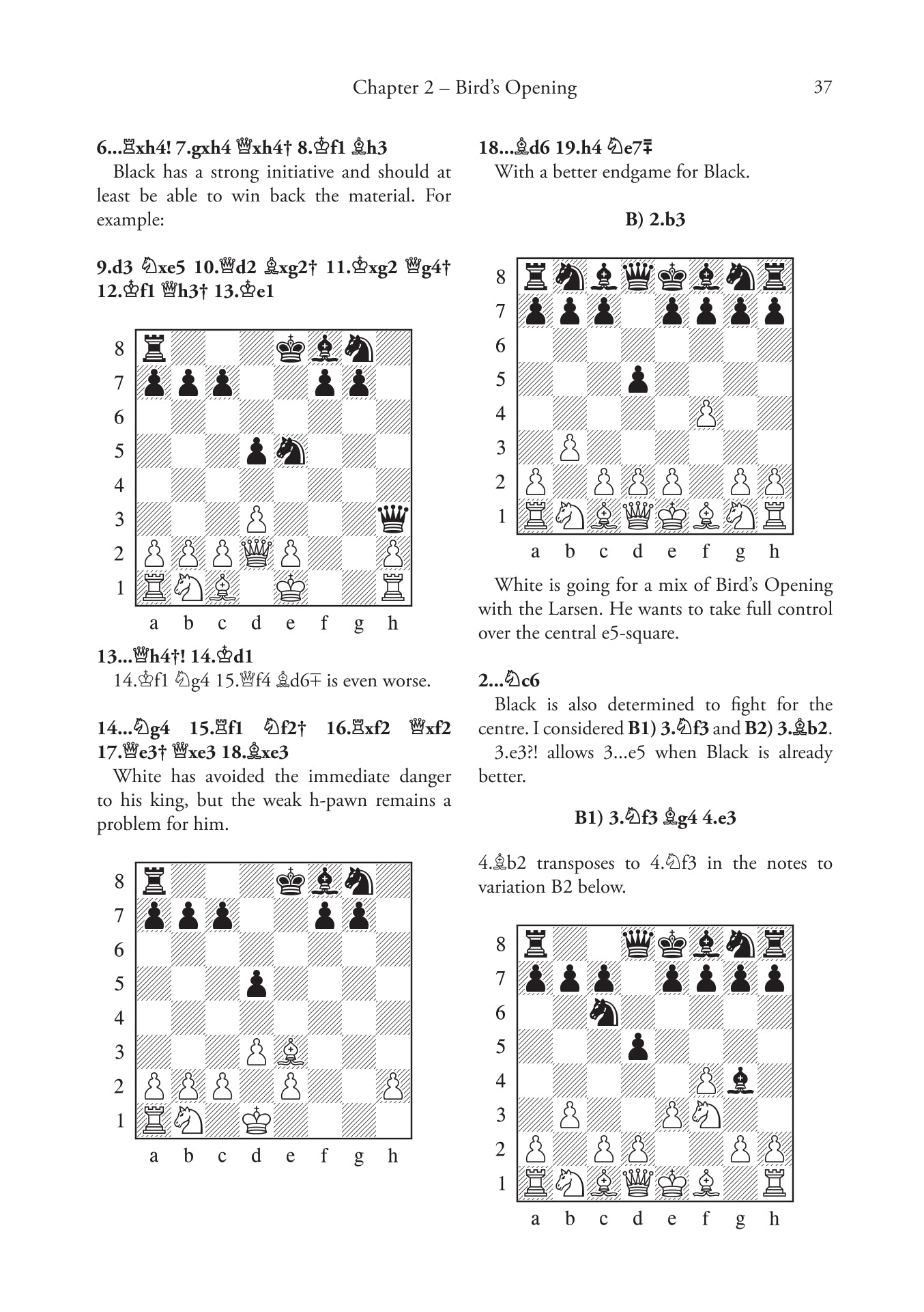
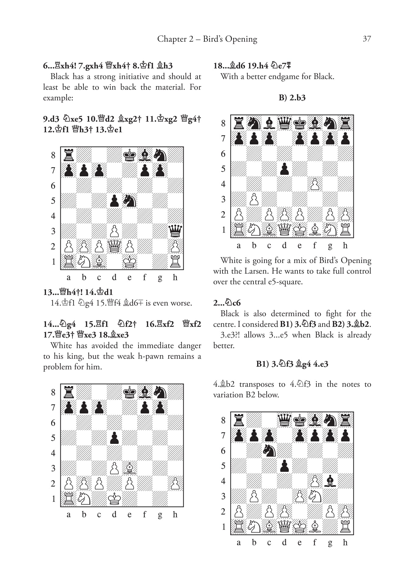
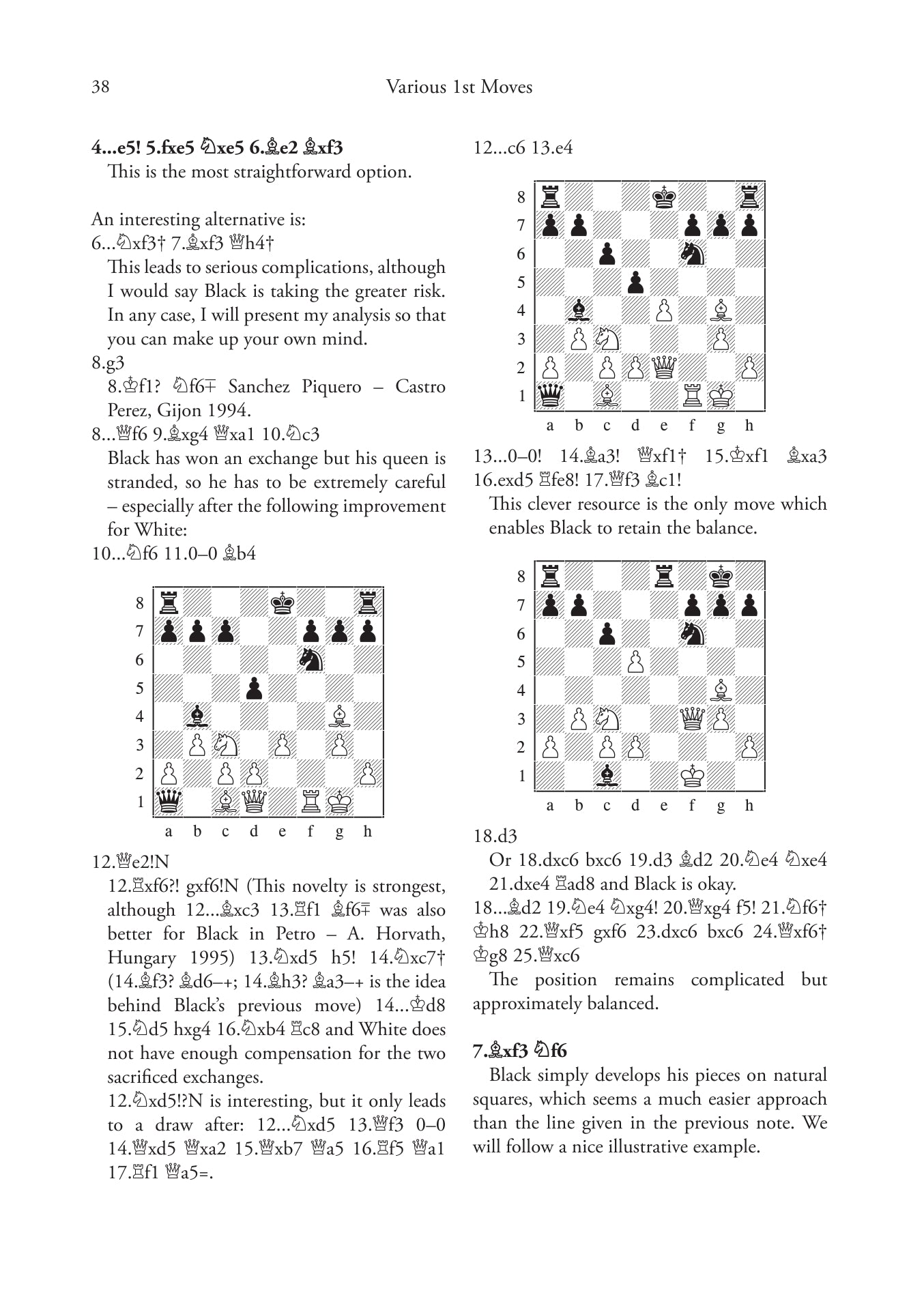
GM REPERTOIRE 19- BEATING MINOR OPENINGS HARDCOVER (out of stock)
Il libro "GM REPERTOIRE 19 - BEATING MINOR OPENINGS" è una risorsa estremamente preziosa per ogni scacchista che desidera perfezionare le proprie abilità nelle aperture. L'edizione rilegata combina un'analisi dettagliata con consigli pratici, rendendola uno strumento ideale sia per i principianti che per i giocatori esperti. Gli autori, rinomati maestri di scacchi, condividono strategie collaudate e basi teoriche che consentono di affrontare con efficacia le diverse aperture nelle partite di scacchi.
Il libro copre le ultime tendenze e gli approcci classici, concentrandosi sui concetti chiave che ti aiuteranno a costruire una solida base in questo campo. Grazie a diagrammi chiari e analisi dettagliate, gli utenti potranno facilmente assimilare gli argomenti trattati e metterli in pratica. "GM REPERTOIRE 19 - BEATING MINOR OPENINGS" non è solo un'ottima lettura per imparare, ma anche una fonte inestimabile di ispirazione nella ricerca di nuove strategie. Particolarmente consigliato ai giocatori che partecipano a tornei e a coloro che desiderano ottenere un vantaggio sui propri avversari. Un libro che non può mancare nella biblioteca di ogni appassionato di scacchi.
Aggiungi una confezione regalo, un’incisione – o entrambe – per renderlo davvero speciale!
Precisione tangibile
Ogni mossa rafforza curiosità, concentrazione e fiducia in sé stessi.










