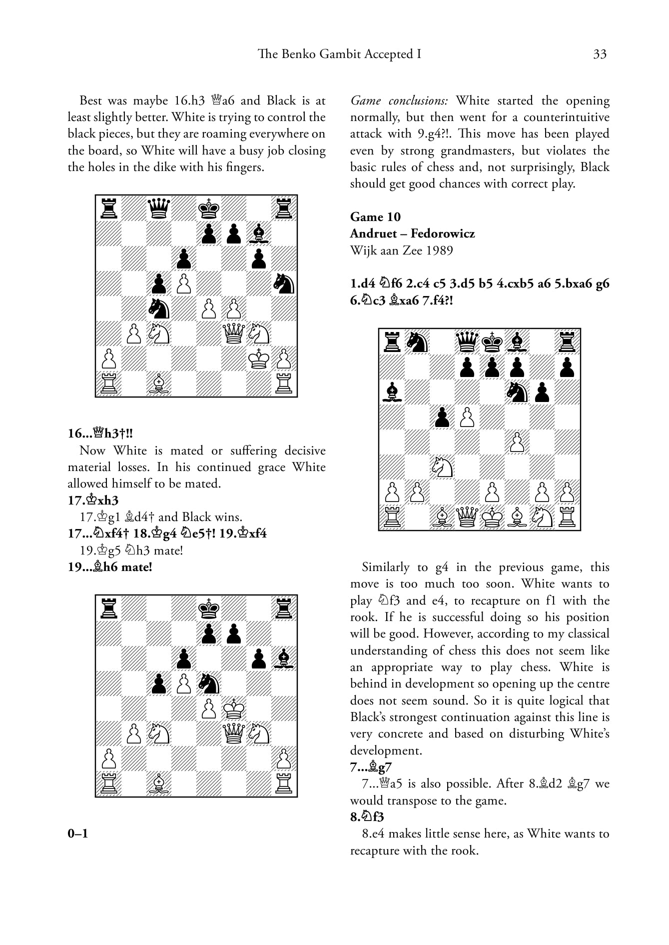
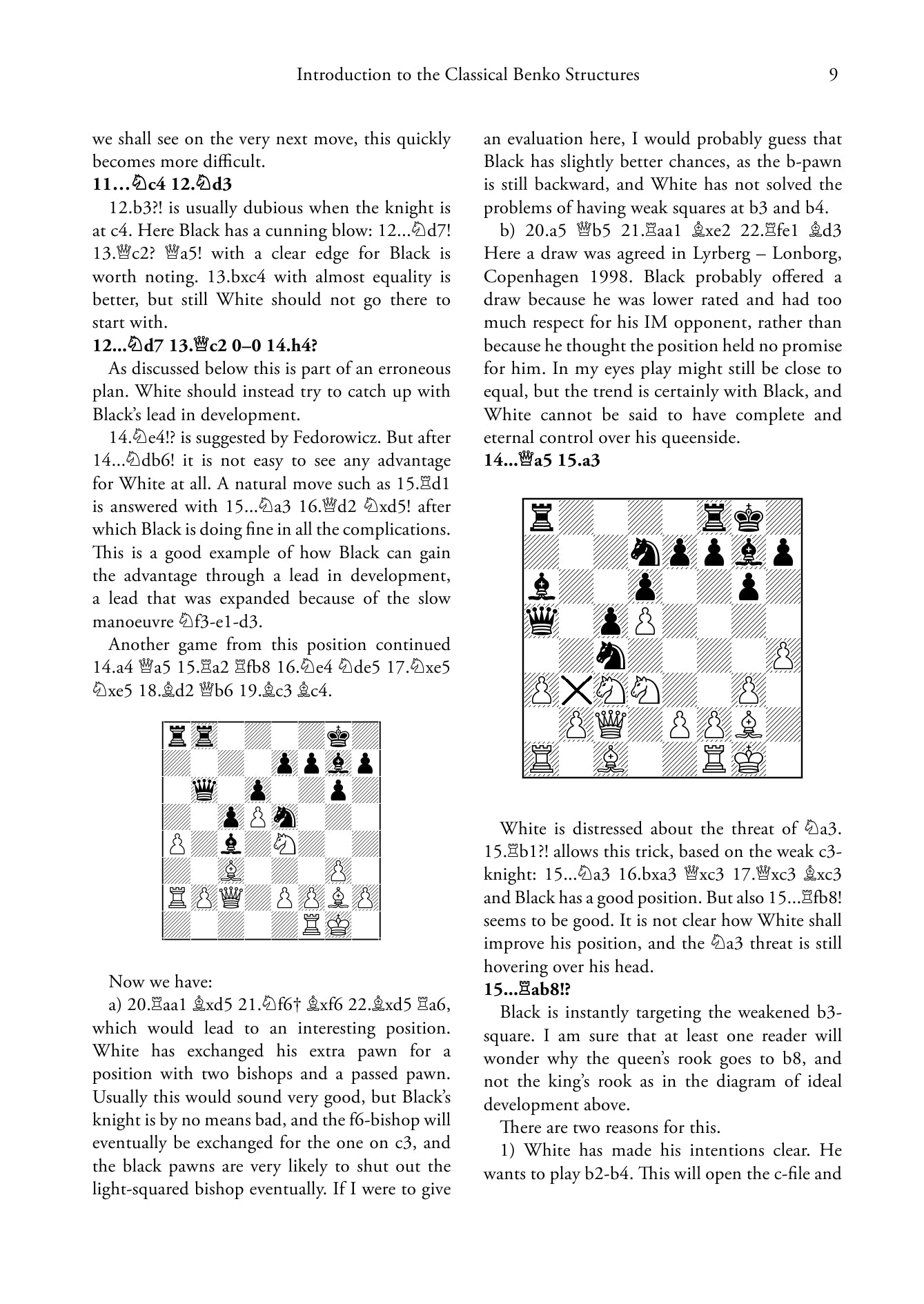
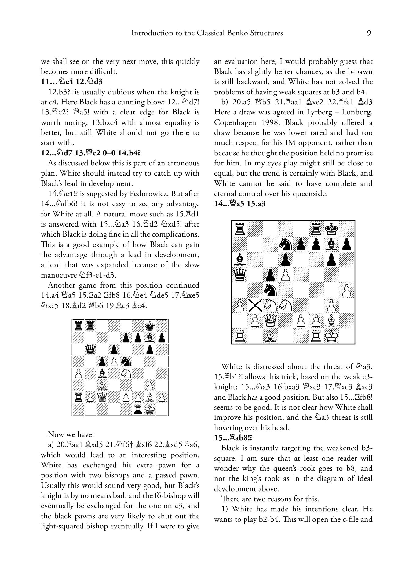
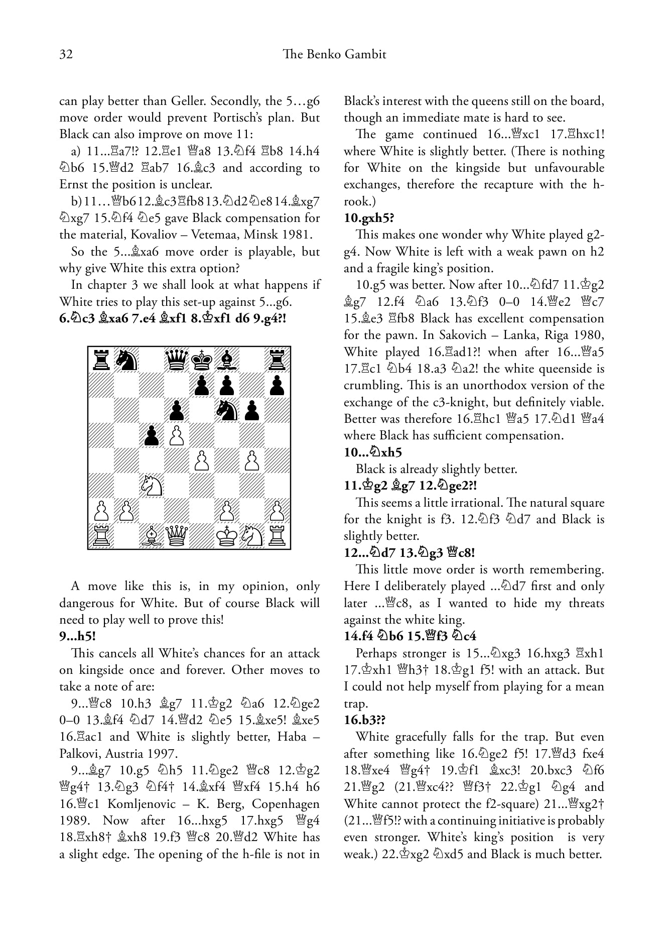
The Benko Gambit by Jan Pinksi (softcover)
Il Gambetto Benko è una delle difese più dinamiche per il Nero contro 1.d4 ed è favorito da giocatori di livello mondiale come Veselin Topalov e Alexander Khalifman, che hanno entrambi utilizzato questa difesa per ottenere vittorie memorabili. Il controgioco dinamico che il Nero riceve in cambio dei pedoni sacrificati sul lato di regina offre al Nero una compensazione che spesso dura fino all'endgame.
In questo libro divertente e istruttivo, il famoso teorico Jan Pinski identifica chiaramente le linee critiche che ogni giocatore deve conoscere per giocare questa apertura e spiega chiaramente le idee fondamentali dell'apertura.
Oltre a essere completamente aggiornato e studiato a fondo, il libro contiene anche una grande quantità di nuove analisi, tra cui la variante Epishin, attualmente molto popolare.
ISBN 978-91-975243-8-4 - 128 pagine - Pubblicato a novembre 2005
Aggiungi una confezione regalo, un’incisione – o entrambe – per renderlo davvero speciale!


Precisione tangibile
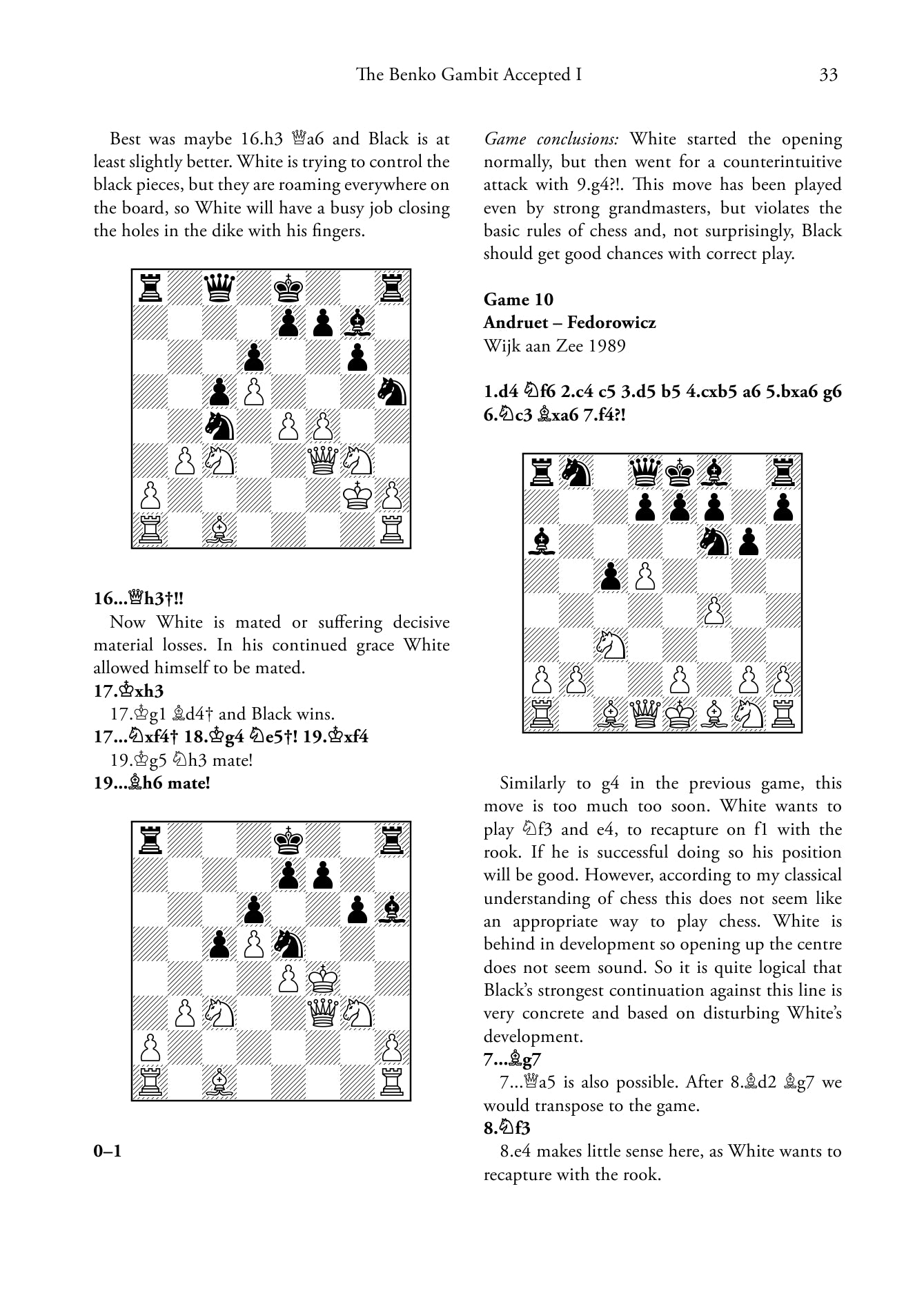
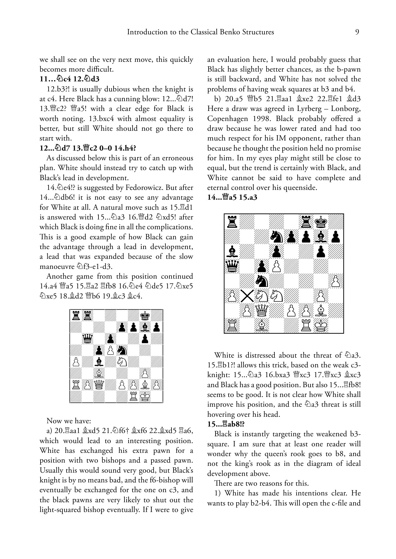
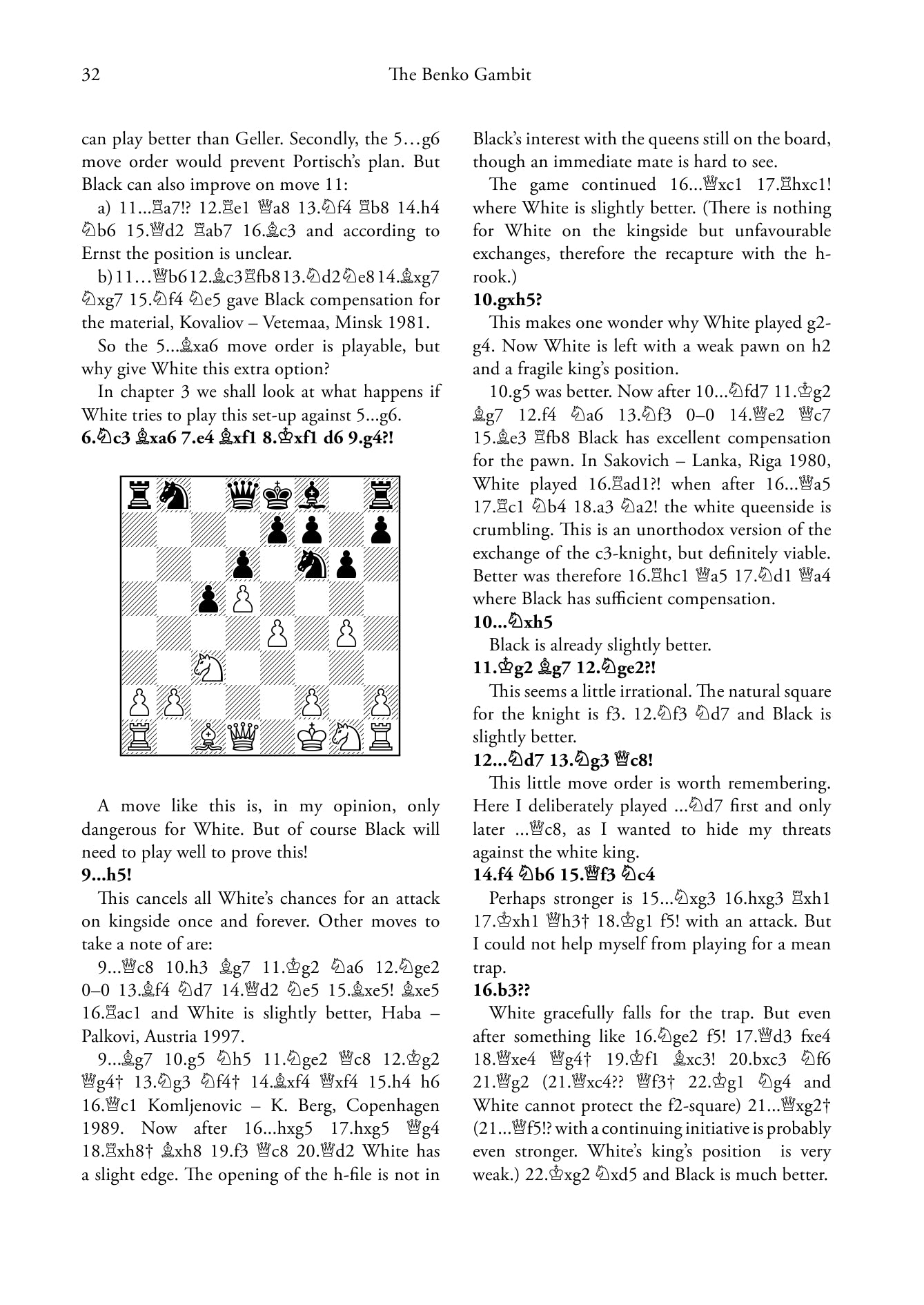
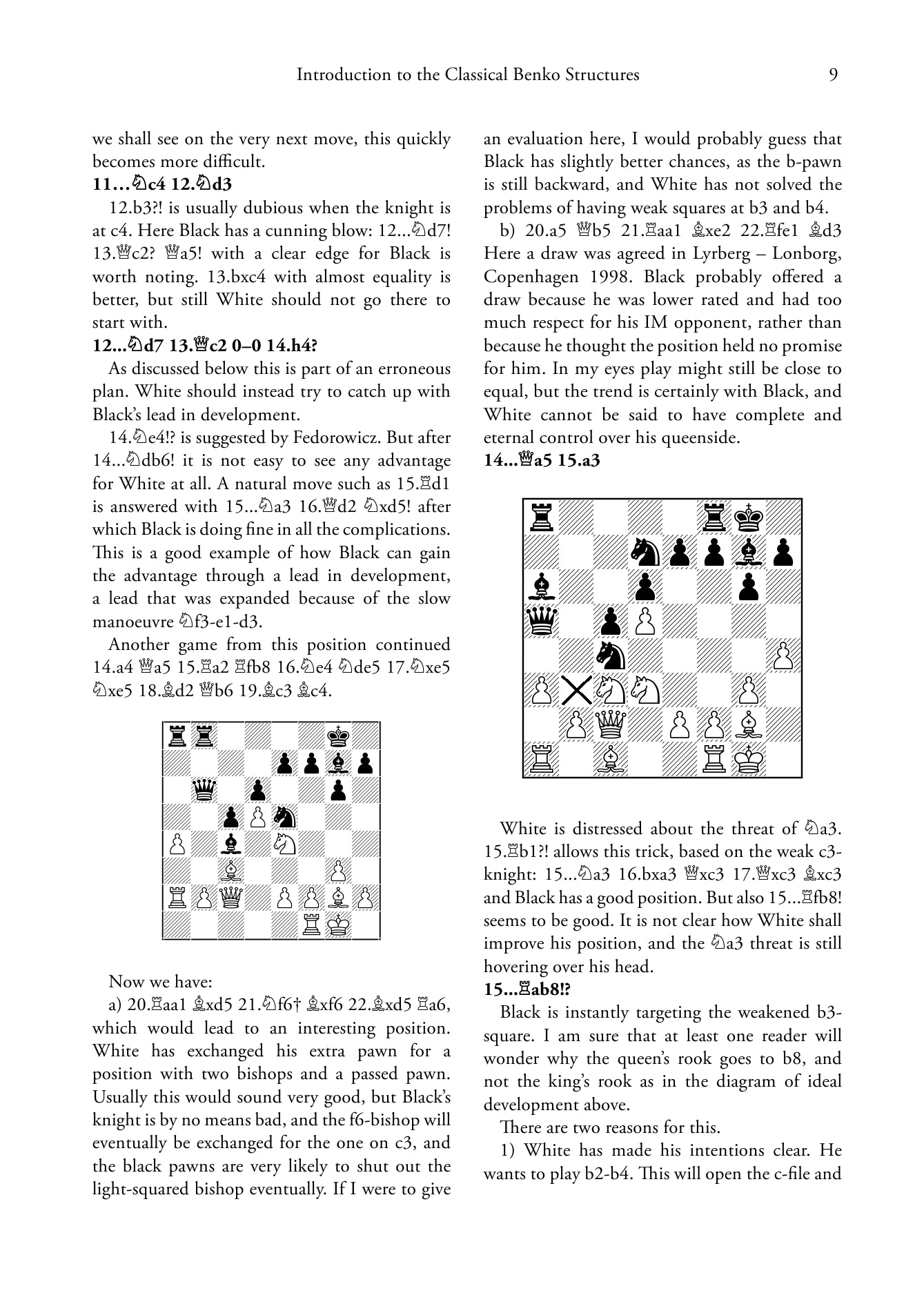
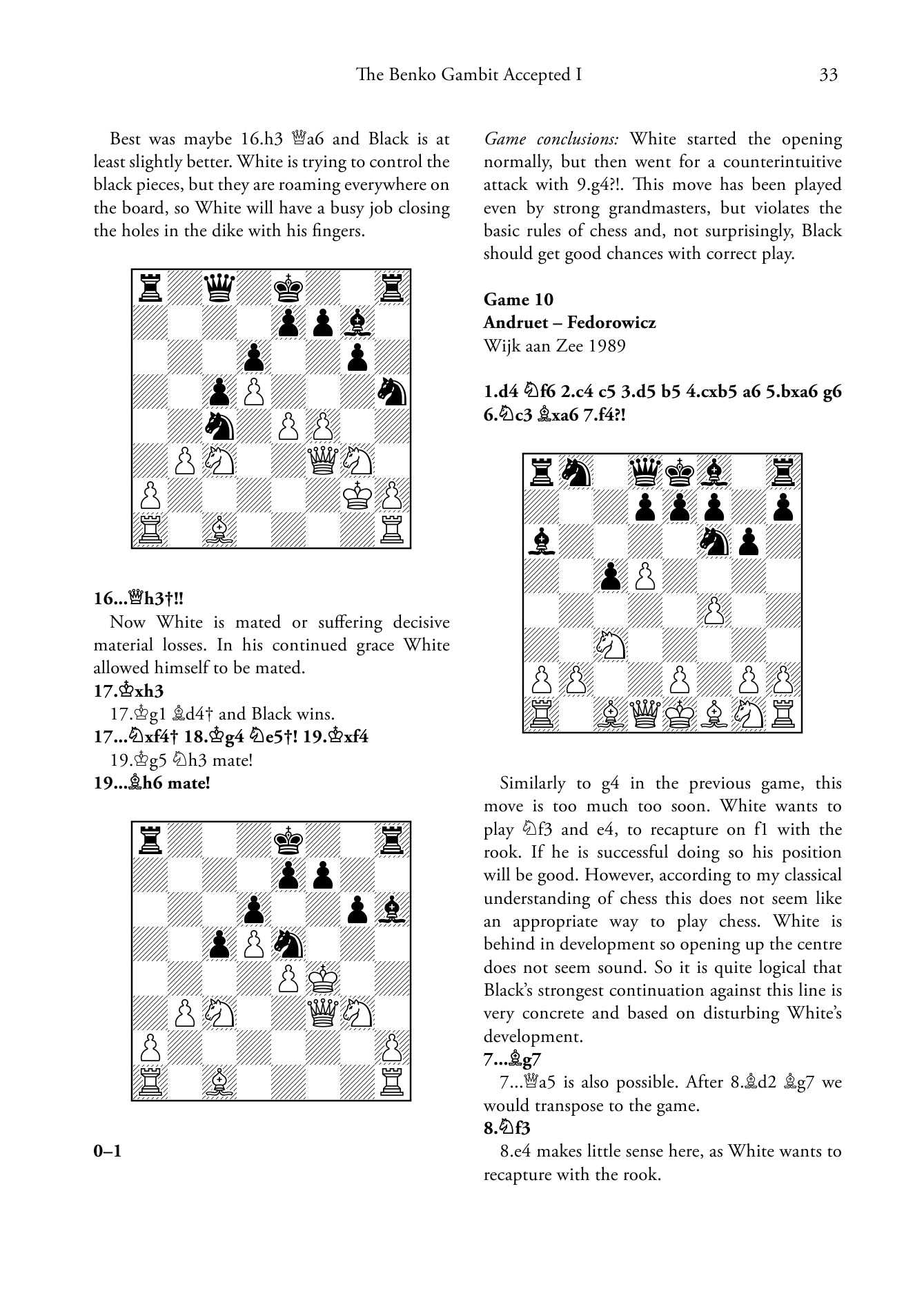
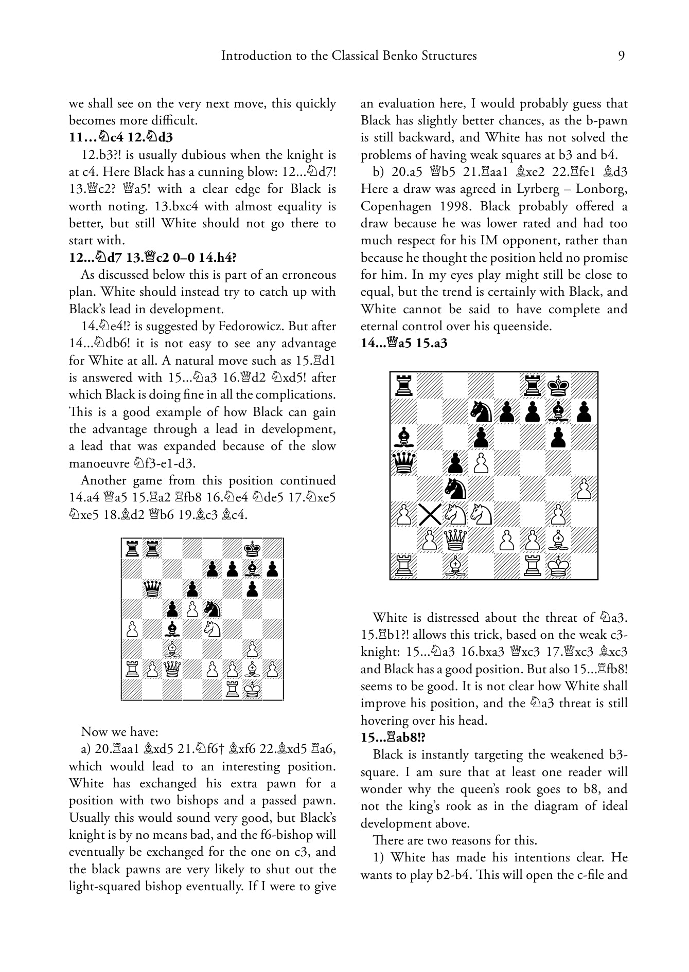
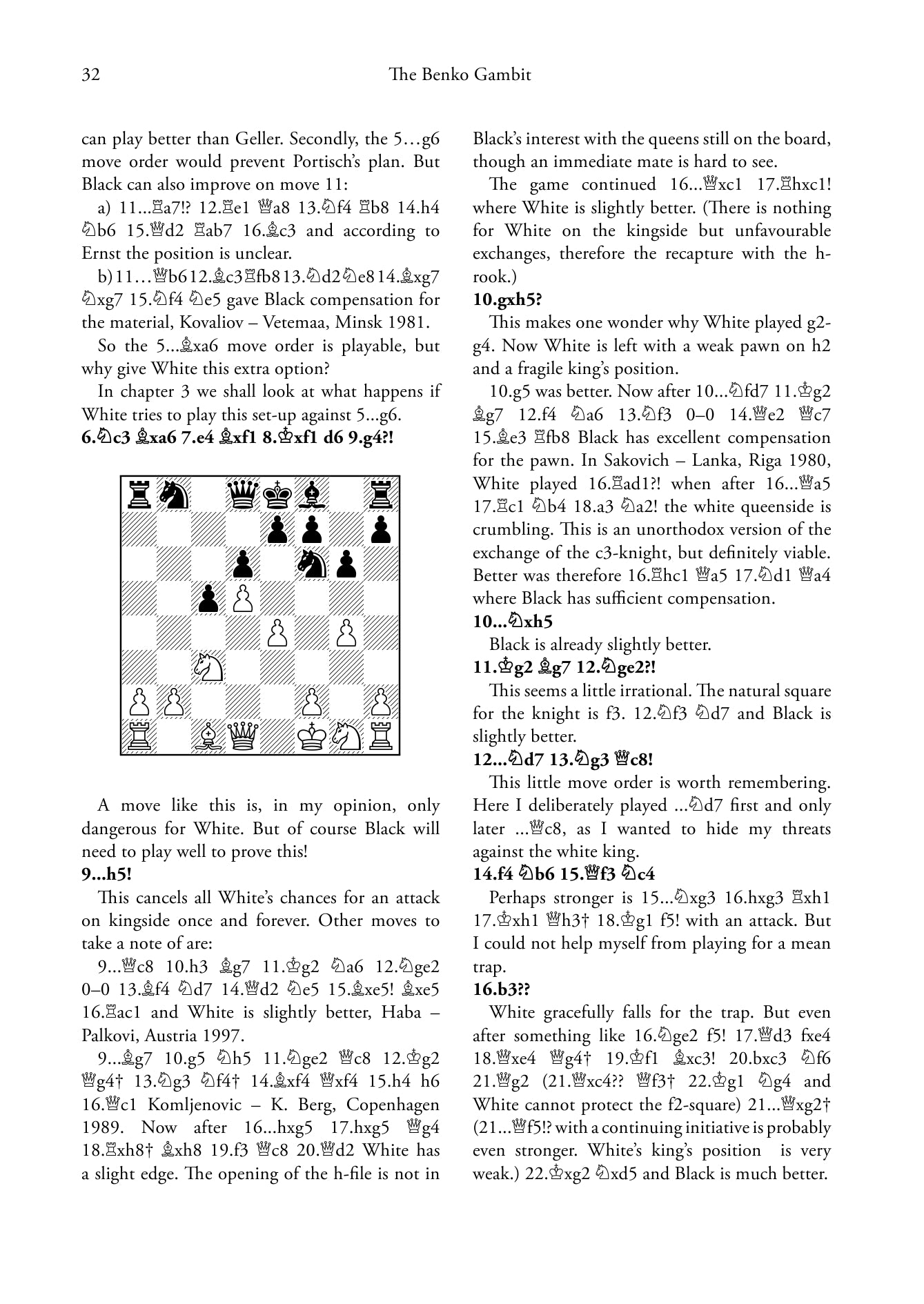
Ogni mossa rafforza curiosità, concentrazione e fiducia in sé stessi.