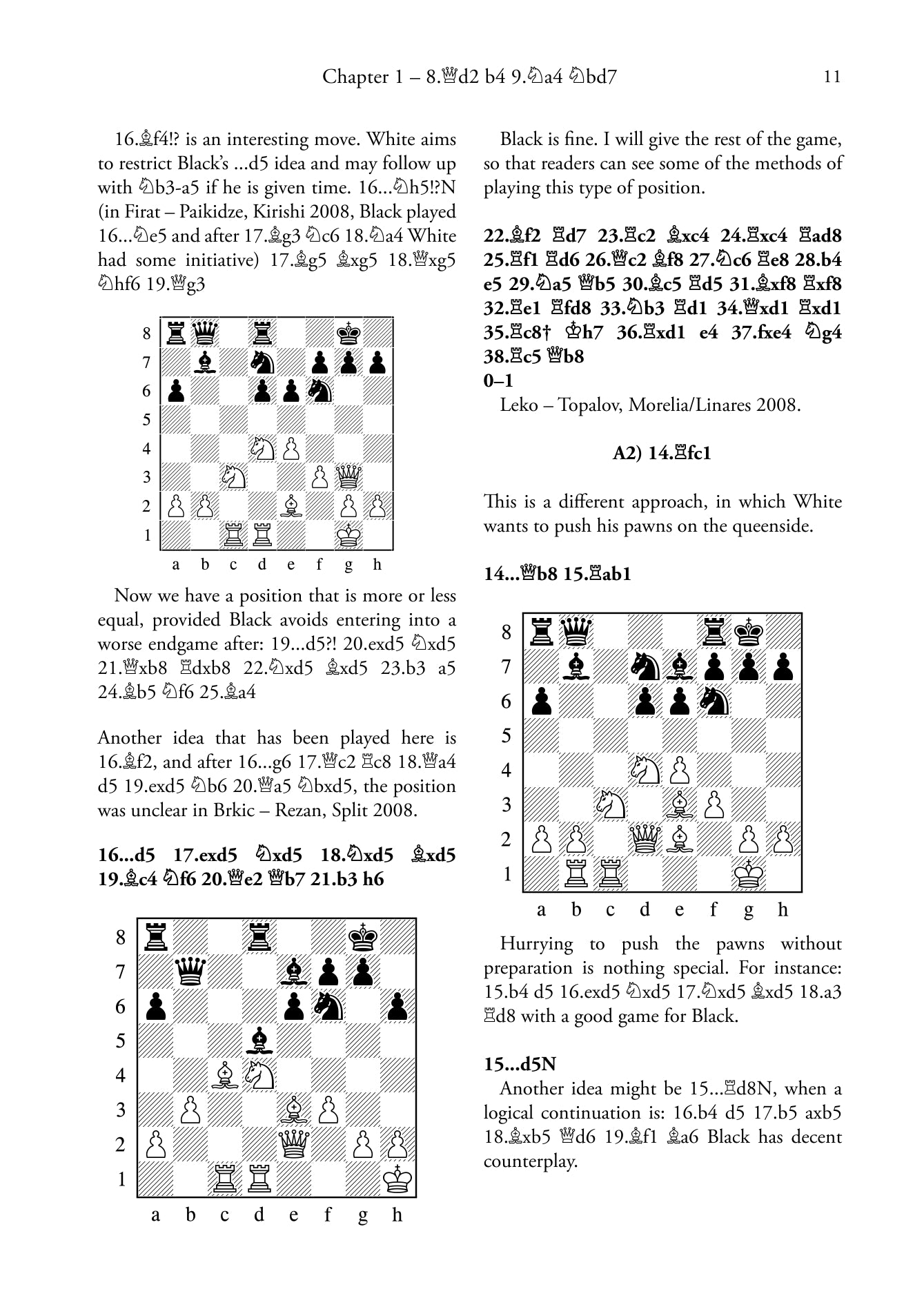
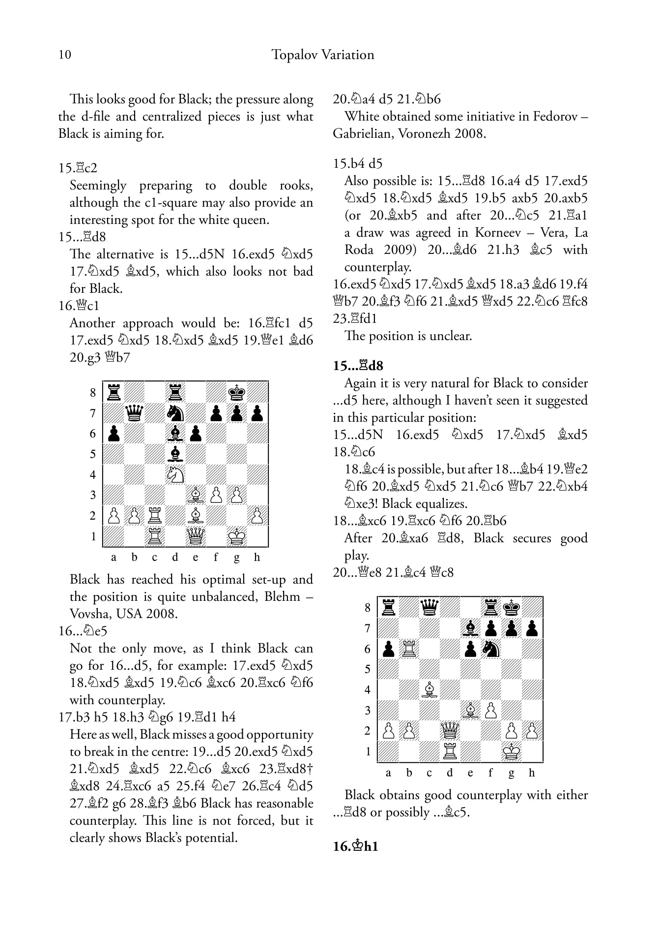
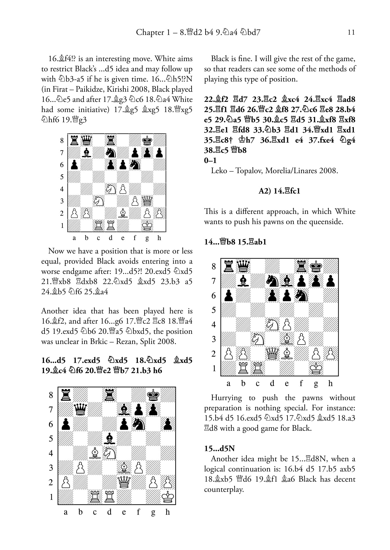
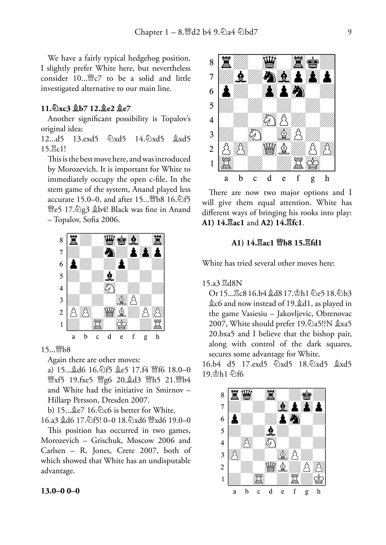
The Cutting Edge 2 - Sicilian Najdorf 6.Be3 by Milos Pavlovic (hardcover)
Questo libro fa parte di una nuova serie della Quality Chess che esamina l'avanguardia della teoria delle aperture.
della teoria delle aperture. L'idea è quella di identificare i più importanti
più importanti e di analizzarli il più a fondo possibile alla ricerca di miglioramenti.
miglioramenti. In questo modo il lettore sarà in anticipo rispetto allo stato dell'arte,
piuttosto che rimanere indietro cercando di memorizzare vecchie partite.
The Cutting Edge 2 prende in considerazione la Najdorf siciliana, l'apertura preferita dai giocatori ambiziosi di ogni livello.
giocatori ambiziosi di ogni livello. Questo libro si concentra sulle linee in cui il Bianco
sceglie 6.Be3, puntando sull'attacco inglese. Le varianti trattate sono:
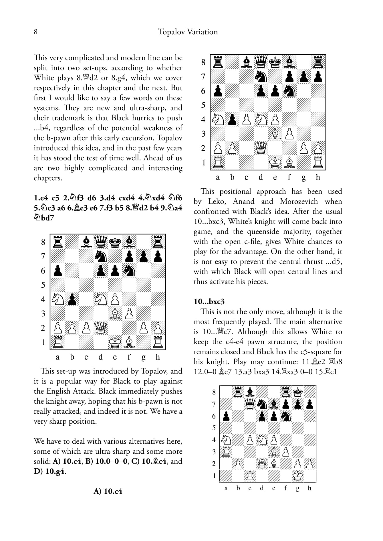
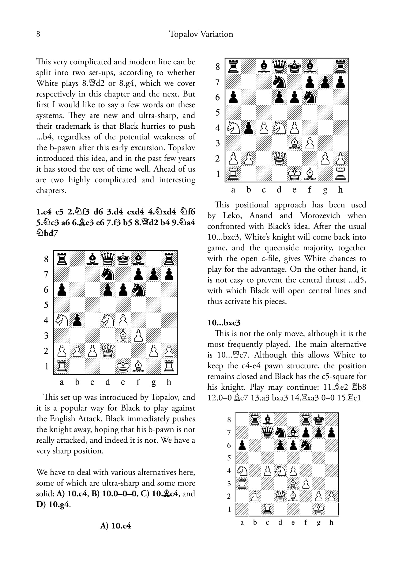
- Topalov: 6...e6 7.f3 b5 8.Qd2 b4 9.Na4 Nbd7
- Topalov: 6...e6 7.f3 b5 8.g4 h6 9.Qd2 b4 10.Nce2 e5
- Attacco Perenyi: 6...e6 7.g4 e5 8.Nf5
- Attacco Perenyi: 6...e6 7.g4 h6 8.Bg2
- Attacco Perenyi: 6...e6 7.g4 h5 8.g5 Ng4 9.Bc1 Qb6 10.h3 Ne5 11.Nb3
- Linea principale: 6...e6 7.f3 b5 8.g4 h6 9.£d2 Nbd7 10.0-0-0 Bb7 11.h4 b4 12.Na4 Qa5 13.b3 Nc5 14.a3
- Linea principale: 6...e6 7.f3 Nbd7 8.£d2 b5 9.g4 Nb6 10.a4
- Scheveningen: 5...Nc6 6.Be3 e6 7.Qd2 Be7 8.0-0-0 0-0 9.f3 d5 10.Be2!?
- 6...e5: Linea posizionale: 7.Nf3
- 6...e5: Variante Vallejo Pons: 7.Nb3 Be6 8.f3 Be7 9.Qd2 0-0 10.0-0-0 Nbd7 11.g4 b5 12.g5 b4 13.Ne2 Ne8 14.f4 a5 15.f5
- 6...e5: linea con 10...a5: 7.Nb3 Be7 8.f3 Be6 9.Qd2 0-0 10.0-0-0 a5
- 6...e5: variante Topalov: 7.Nb3 Be6 8.f3 Nbd7 9.Qd2 h5
- 6...e5: linee f2-f4
La Najdorf con 6.Bg5 sarà trattata in un secondo momento in The Cutting Edge: Sicilian.
Najdorf 6.Bg5.
Milos Pavlovic è un grande maestro serbo di grande esperienza ed ex campione jugoslavo, le cui analisi vengono regolarmente pubblicate su New in Chess e Chess Informant.
Aggiungi una confezione regalo, un’incisione – o entrambe – per renderlo davvero speciale!


Precisione tangibile
Ogni mossa rafforza curiosità, concentrazione e fiducia in sé stessi.