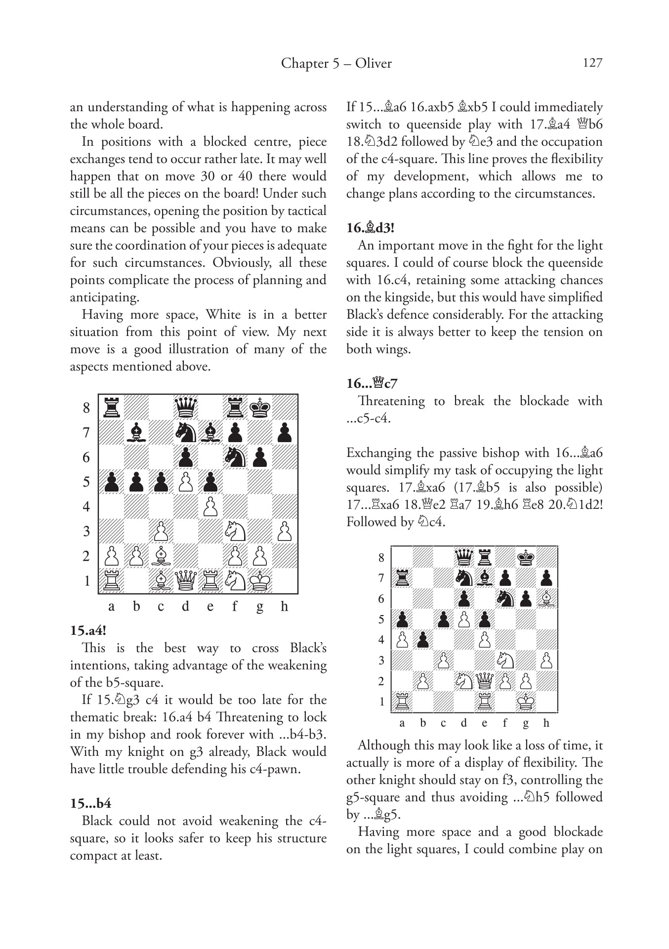
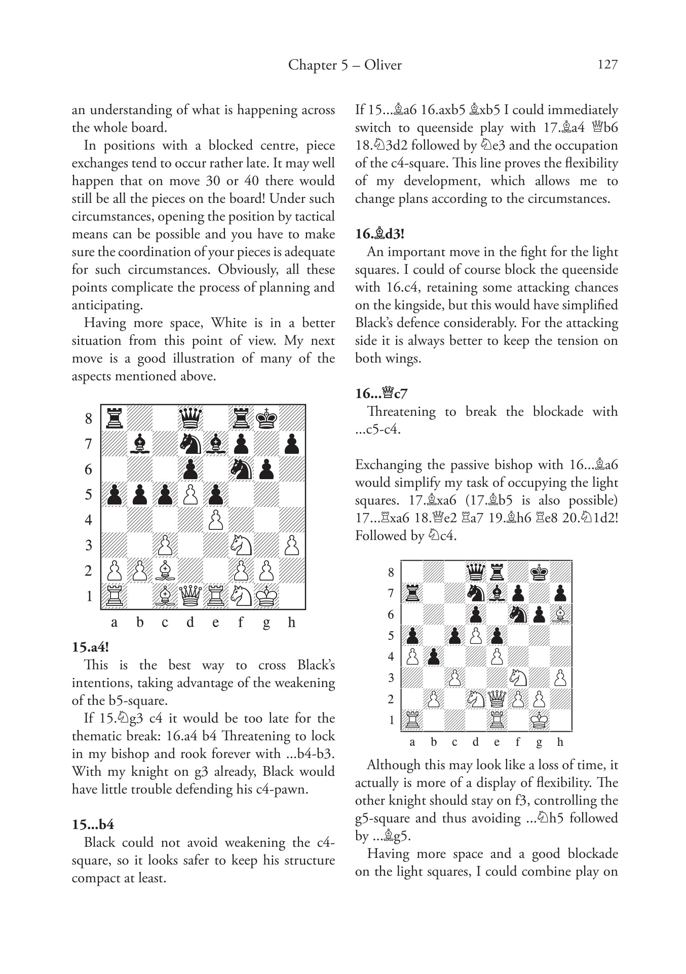
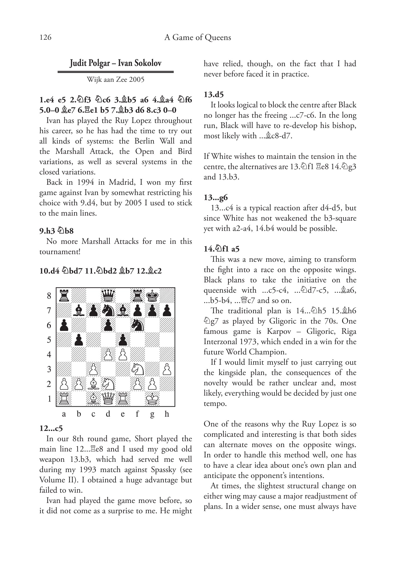
A Game of Queens - Judit Polgar Teaches Chess 3 (hardcover)
Libro pubblicato in inglese e tedesco. Copertina rigida.
A Game of Queens completa la trilogia in cui una delle più grandi giocatrici del nostro tempo trasforma il suo viaggio personale verso la vetta in una tabella di marcia per tutti coloro che desiderano migliorarsi nel gioco degli scacchi. Questo volume copre il periodo che va dal 2001 ai giorni nostri. Erano gli anni in cui Judit era nella Top Ten mondiale e affrontava giocatori del calibro di Kasparov, Karpov, Korchnoi e Anand.
Judit Polgar è stata al primo posto nella classifica femminile dal 1989 a oggi. Nel 2005 è diventata l'unica donna nella storia degli scacchi a partecipare alla finale del Campionato del Mondo.
Il primo volume Come ho battuto il record di Fischer ha vinto il premio ECF Book of the Year 2013 e il secondo volume Da GM a Top Ten è stato il libro dell'anno ACP per il 2014.
ISBN: 978-1-907982-52-1 - 392 pagine - Pubblicato il 5 novembre 2014
Offerta speciale trilogia Judit Polgar
Recensioni
Ciò che rende speciale questa serie sono le annotazioni di Polgar, accessibili a un'ampia gamma di giocatori. L'autrice ottiene questo risultato includendo non solo varianti concrete, a seconda delle necessità, ma anche una grande quantità di prosa esplicativa che non è solo istruttiva ma anche divertente.
È raro trovare un libro di scacchi, per non parlare di una serie, che si rivolga a una gamma così ampia di giocatori. Alcuni lo apprezzeranno per le partite commentate, altri per le storie, le osservazioni e le foto. La maggior parte apprezzerà tutto di questo libro e della serie su uno dei più grandi giocatori e ambasciatori che il gioco degli scacchi abbia mai conosciuto".
IM John Donaldson
"How I Beat Fischer's Record" ha vinto il premio ECF Book of the Year 2013 e "From GM to Top Ten" è stato il libro ACP dell'anno 2014. "A Game of Queens" si unirà sicuramente a questi come vincitore di un premio, come pure....
A Game of Queens è più esauriente di molte altre biografie di scacchi, e quindi anche più interessante. Oltre all'analisi approfondita di grandi partite, la Polgar condivide i suoi pensieri, le sue opinioni e i suoi sentimenti su un'ampia varietà di argomenti. Nel libro sono presenti anche molte fotografie, non solo quelle obbligatorie di fronte alla scacchiera e all'avversario, ma anche scatti privati che permettono al lettore di sentirsi come se l'avesse conosciuta a livello personale.
La mia valutazione di questo prodotto: 6/6"
Brian Almeida, ChessCafe (recensione completa)
"Questo libro di quasi 400 pagine è pieno di partite brillanti annotate da Judit, ma anche di aneddoti e foto. Il libro non è solo piacevole, ma lo scacchista dilettante può davvero imparare molto da esso".
Bab Wilders, Nederlands Dagblad
Aggiungi una confezione regalo, un’incisione – o entrambe – per renderlo davvero speciale!
Precisione tangibile
Ogni mossa rafforza curiosità, concentrazione e fiducia in sé stessi.










