Advanced Chess Tactics 2nd edition by Lev Psakhis (softcover)
Lingua inglese, diagrammi scacchistici.
La padronanza della tattica è essenziale per un giocatore di scacchi competitivo e l'originale Advanced Chess Tactics è diventato subito un classico in questo campo. Questo libro è assolutamente superbo. Per i giocatori seri ... questo volume fornirà una meravigliosa ampiezza di materiale di studio e fungerà da libro di lavoro per far progredire le vostre abilità e la vostra comprensione di questo importante argomento..." è stato il commento di Carsten Hansen quando ha assegnato al libro 6/6 stelle.
Questa nuova edizione beneficia di varie modifiche analitiche e di un capitolo completamente nuovo dedicato all'attacco nella Difesa Francese, un'apertura che l'autore conosce meglio di chiunque altro, avendola giocata per la maggior parte della sua carriera. I lettori troveranno sicuramente questa preziosa aggiunta ai capitoli originali, che rimangono utilmente suddivisi per apertura o struttura di pedine comuni.
Lev Psakhis è un leggendario Gran Maestro che ha vinto due volte il fortissimo campionato sovietico prima di trasferirsi in Israele, dove è stato anche due volte campione nazionale. Allenatore di fama, ha lavorato con molti giocatori famosi, tra cui Garry Kasparov e le sorelle Polgar.
Elogi per Advanced Chess Tactics:
"Il GM israeliano è riuscito perfettamente a mettere su carta la sua gigantesca esperienza e conoscenza.... Un must assoluto per chiunque voglia migliorare le proprie abilità tattiche in modo strutturato!". - IM Robert Ris
416 pagine - Pubblicato il 30 ottobre 2019
Libro in brossura ISBN: 978-1-78483-092-2
Copertina rigida ISBN: 978-1-78483-093-9
Recensioni
"Il libro è scritto con un tono leggero e frizzante, che si sposa con le sorprendenti partite - molte delle quali non sono note - che Psakhis seleziona e analizza con grande profondità.
Nel complesso un libro davvero eccellente, rivolto a un pubblico più forte (Psakhis cita la fascia di rating 2000-2600), ma godibile anche da altri, credo."
GM Matthew Sadler, New in Chess
"Psakhis spiega come usare le tattiche per costruire un attacco. Lo fa attraverso una serie di partite molto ben commentate che sono organizzate intorno a determinate strutture di pedoni e aperture.... Lev Psakhis è riconosciuto come uno dei più importanti allenatori di scacchi di tutti i tempi, avendo lavorato con Garry Kasparov, le sorelle Polgar e la squadra nazionale indiana. Questo libro è una testimonianza del suo insegnamento".
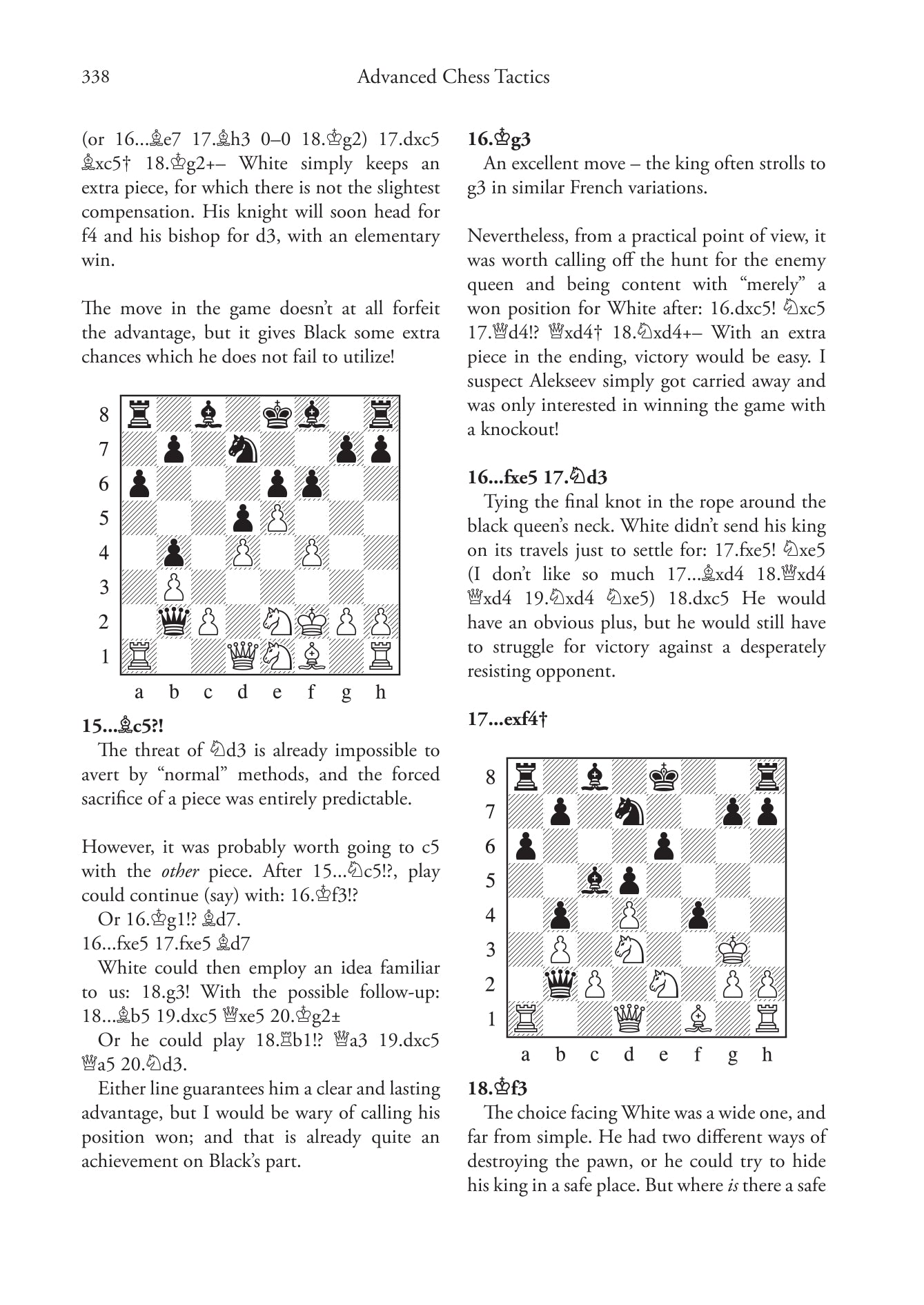
IM John Donaldson
Aggiungi una confezione regalo, un’incisione – o entrambe – per renderlo davvero speciale!


Precisione tangibile
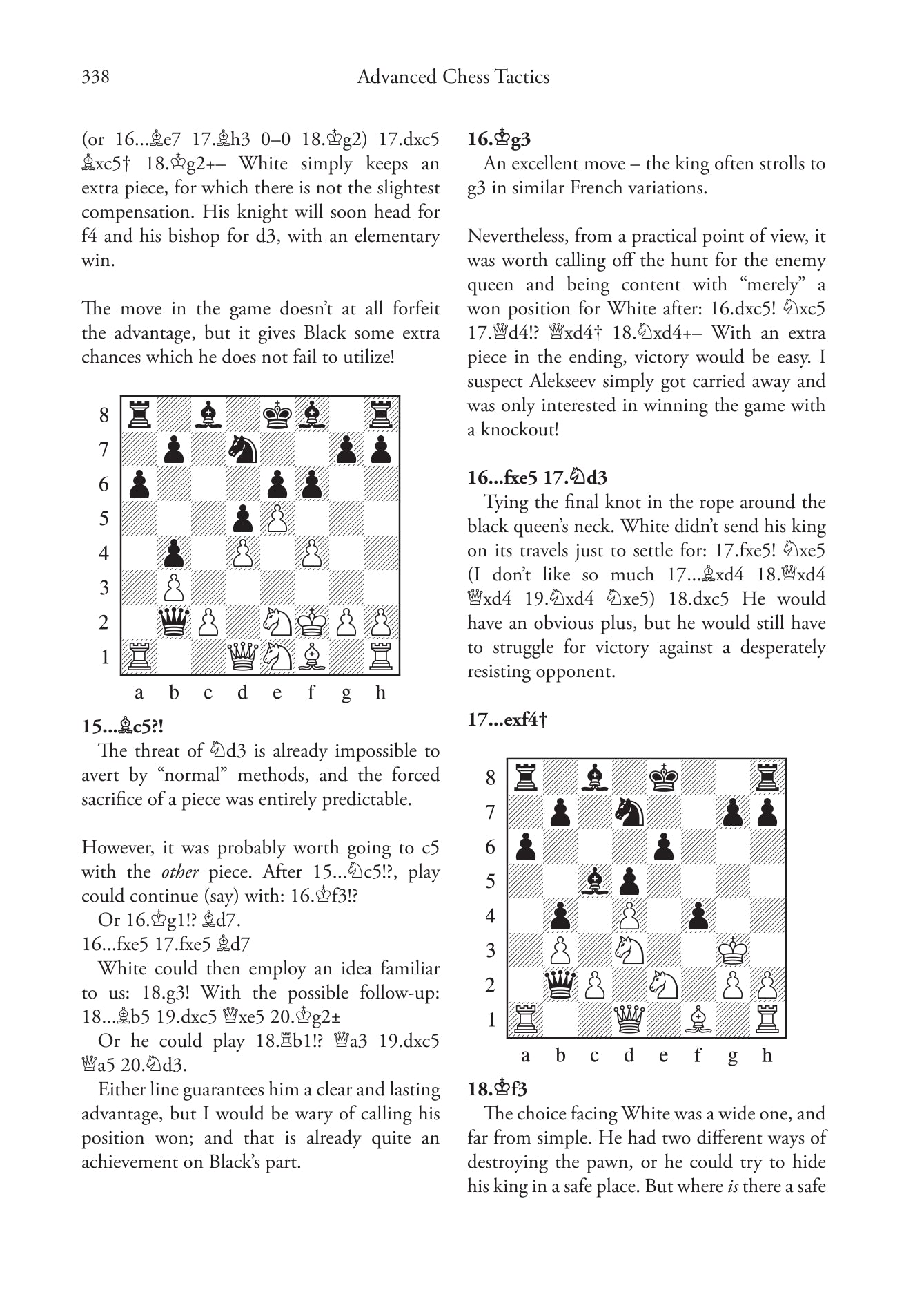
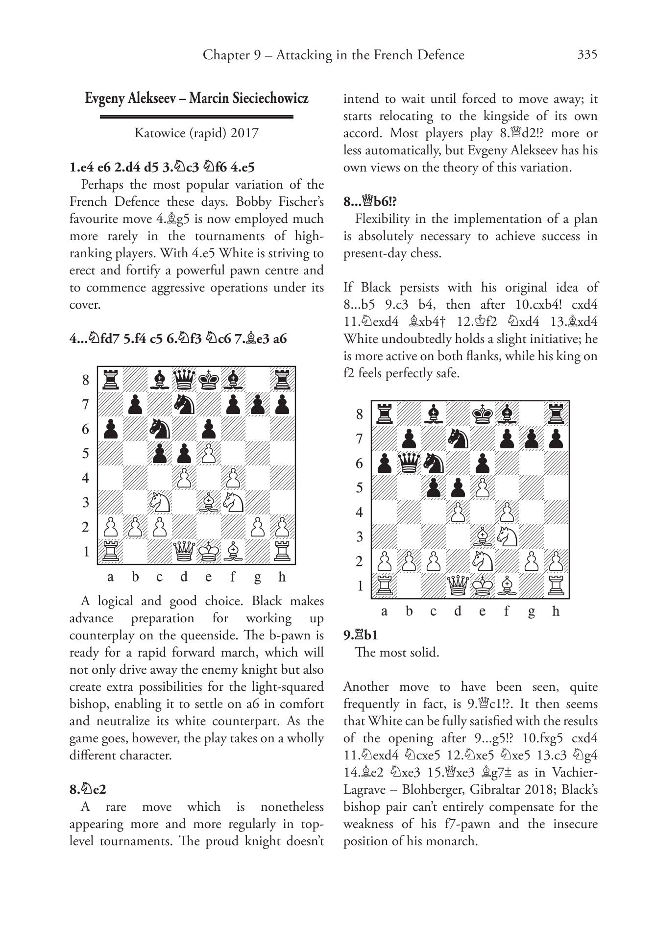
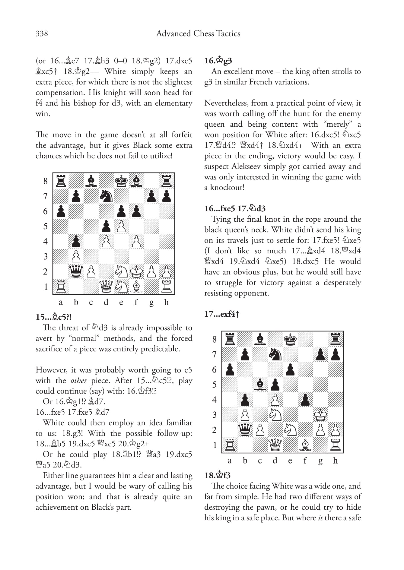
Ogni mossa rafforza curiosità, concentrazione e fiducia in sé stessi.