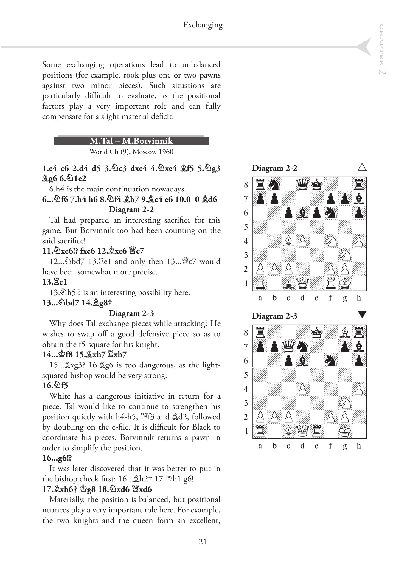
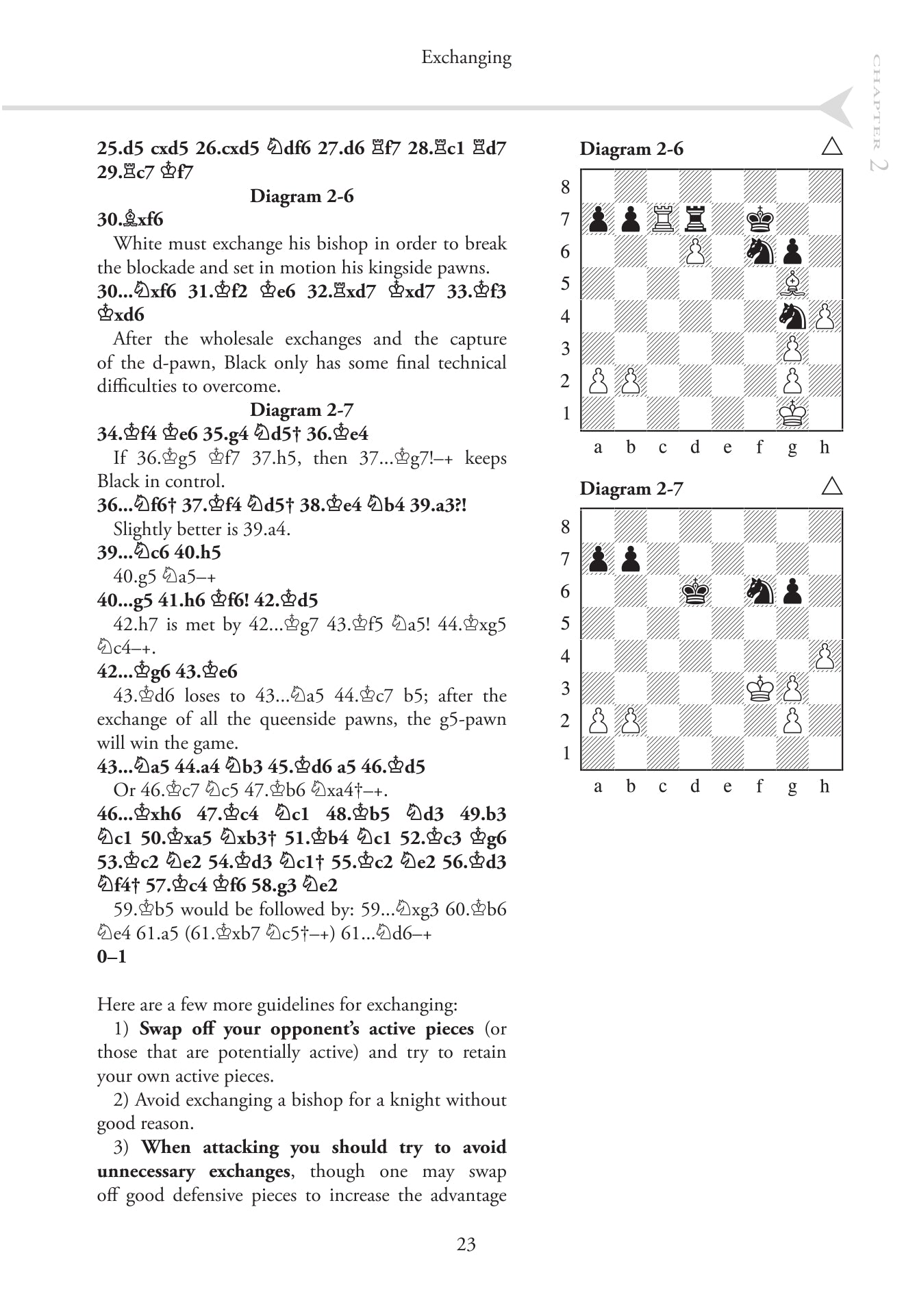
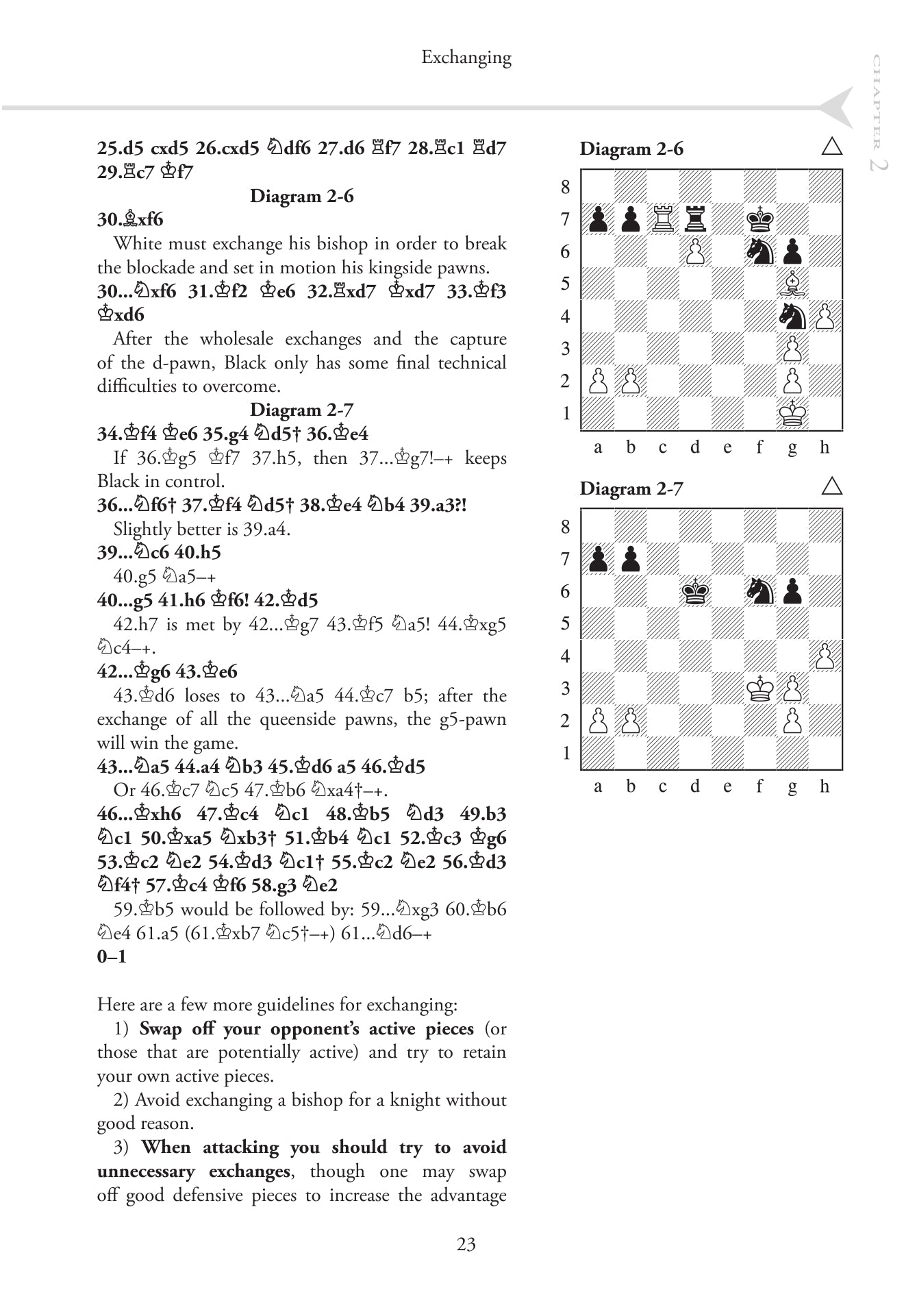
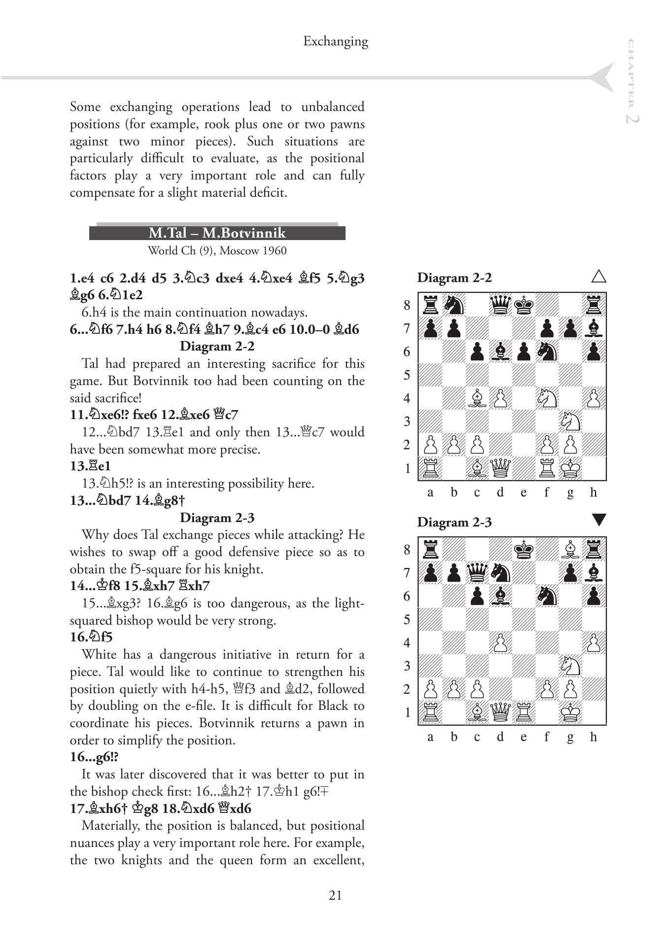
CHESS EVOLUTION 2 (YUSUPOV) REVISED EDITION HC
Chess Evolution 2 continua la pluripremiata serie didattica di Yusupov. La serie Fundamentals mostra ai giocatori le idee di base che dovrebbero conoscere, mentre la serie Beyond the Basics li accompagna lungo il percorso verso la maestria. Yusupov guida il lettore verso un livello superiore di comprensione degli scacchi utilizzando posizioni e consigli accuratamente selezionati. Questa nuova comprensione viene poi messa alla prova con una serie di enigmi.
Informazioni dettagliate sul pluripremiato corso di formazione di Yusupov.
Il Gran Maestro Artur Yusupov è stato classificato al terzo posto nella classifica mondiale dal 1986 al 1992, subito dietro ai leggendari Karpov e Kasparov. Negli ultimi anni ha lavorato principalmente come allenatore con giocatori che vanno dall'attuale campione del mondo Vishy Anand e molti altri grandi maestri, a giovani talenti e dilettanti locali in Germania, dove risiede.
Recensioni
"Questi libri sono tutto ciò di cui un giocatore in fase di miglioramento ha bisogno per ottenere grandi risultati! Ogni giocatore serio e ogni allenatore di scacchi che si rispetti dovrebbe avere l'intera serie. È un investimento di gran lunga migliore di qualsiasi libro sulle aperture."
Michael McGuerty, ChessCafe(recensione completa)
"Come menzionato nelle recensioni precedenti di questa serie, questi libri hanno tre destinatari principali. Saranno utili ai giocatori che desiderano aumentare la loro forza per migliorare il loro punteggio, agli allenatori alla ricerca di un programma strutturato e/o di materiale didattico utile e a coloro che desiderano approfondire la loro comprensione del gioco che, a causa di varie circostanze, potrebbero non essere più in grado di giocare regolarmente. Sebbene Yusupov avverta modestamente nella sua introduzione che questa serie non sostituisce un allenatore, non c'è dubbio che uno studente motivato che lavora da solo possa acquisire molte conoscenze".
IM John Donaldson
Aggiungi una confezione regalo, un’incisione – o entrambe – per renderlo davvero speciale!
Precisione tangibile
Ogni mossa rafforza curiosità, concentrazione e fiducia in sé stessi.











